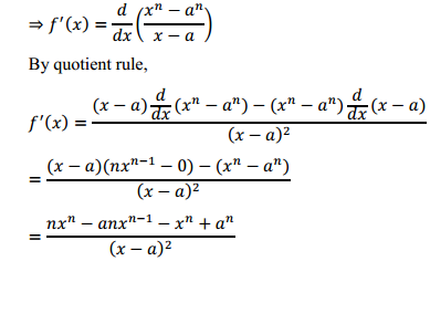
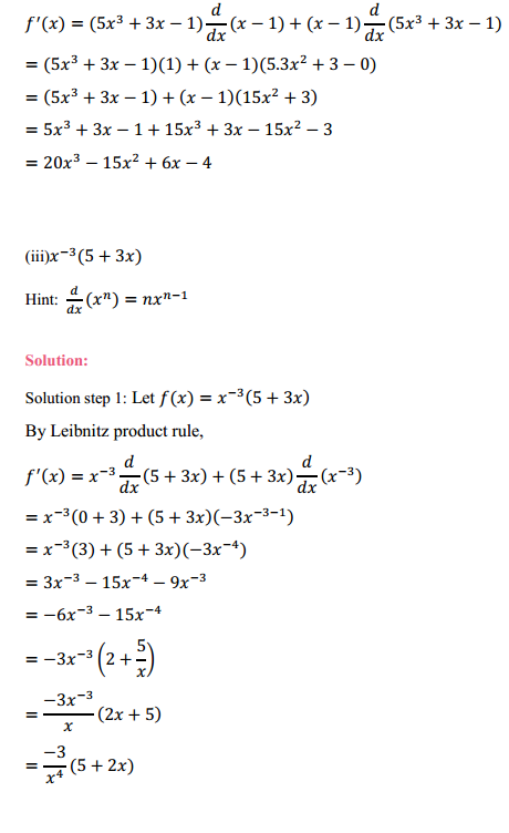
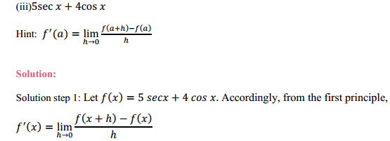
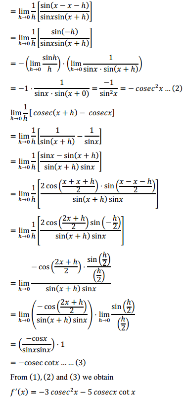
Access Class 11 Maths NCERT Solutions Chapter 13 Limits and Derivatives Ex 13.2, contains solutions for all Exercise 13.2 Class 11 questions.
Limits and Derivatives Class 11 NCERT Solutions Maths Chapter 13 Exercise 13.2


























RD Sharma Solutions , RS Aggarwal Solutions and NCERT Solutions