Are you looking for the best ICSE Understanding Mathematics ML Aggarwal Class 7 Solutions? Then, grab them from our page and ace up your preparation for ICSE Class 7 Exams.
ML Aggarwal Class 7 Solutions for ICSE Maths Chapter 2 Fractions and Decimals Ex 2.1
Question 1.
What fraction of each of the following figure is shaded?

Solution:

Question 2.
What fraction of an hour is 35 minutes?
Solution:

Question 3.
Convert the following fractions into improper fractions :
(i) 2\(\frac { 7 }{ 9 }\)
(ii) 5\(\frac { 4 }{ 11 }\)
Solution:

Question 4.
Convert the following fractions into mixed fractions:
(i) \(\frac { 73 }{ 8 }\)
(ii) \(\frac { 94 }{ 13 }\)
Solution:

Question 5.
Fill in the missing numbers in the following equivalent fractions:
(i) \(\frac { 3 }{ 7 }\) = \(\frac { …. }{ 35 }\)
(ii) \(\frac { 5 }{ …. }\) = \(\frac { 30 }{ 18 }\)
(iii) \(\frac { ….. }{ 9 }\) = \(\frac { 56 }{ 72 }\)
Solution


Question 6.
Reduce the following fractions to their simplest form:
(i) \(\frac { 48 }{ 72 }\)
(ii) \(\frac { 276 }{ 115 }\)
(iii) \(\frac { 72 }{ 336 }\)
Solution:

Question 7.
Convert the following fractions into equivalent like fractions:

Solution:



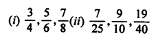
Question 8.
Arrange the given fractions in descending order:

Solution:



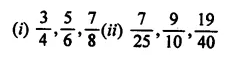
Question 9.
Arrange the given fractions in ascending order:

Solution:



