Students can access the CBSE Sample Papers for Class 12 Applied Maths with Solutions and marking scheme Set 7 will help students in understanding the difficulty level of the exam.
CBSE Sample Papers for Class 12 Applied Maths Set 7 with Solutions
Time Allowed : 3 hours
Maximum Marks : 80
General Instructions:
- This Question paper contains – five sections A,B,C,D and E. Each section is compulsory. However, there is some internal ‘ choice in some questions.
- Section A has 18 MCQ’s and 02 Assertion Reason based questions of 1 mark each.
- Section B has 5 Very Short Answer (VSA) questions of 2 marks each.
- Section C has 6 Short Answer (SA) questions of 3 marks each.
- Section D has 4 Long Answer (LA) questions of 5 marks each.
- Section E has 3 source based/case based/passage based/integrated units of assessment (04 marks each) with sub parts.
- Internal Choice is provided in 2 questions in Section-B, 2 questions in Section-C, 2 Questions in Section-D. You have to attempt only one alternatives in all such questions.
Section – A
(All Questions are compulsory. No internal choice is provided in this section)
Question 1.
If 100 ≡ x (mod 7), then the least positive value of x is
(A) 2
(B) 3
(C) 6
(D) 4
Answer:
(A) 2
E;planation:
We know that,
a = b (modc)
Then b is the remainder, when a is divided by c.
100 = x (mod 7)

Thus, x = 2.
Question 2.
The ratio in which a grocer mixes two varieties of pulses costing ₹ 85 per kg and ₹ 100 per kg respectively so as to get a mixture worth ? 92 per kg, is
(A) 7 : 8
(B) 8 : 7
(C) 5 : 7
(D) 7: 5
Answer:
(B) 8 : 7
Explanation:
Let the amount of pulse of cost ₹ 85 = x
Let the amount of pulse of cost ₹ 100 = y
Then the total amount of mixture = 85x + 100y
But the cost of per kg of mixture = ₹ 92
ATQ,
92(x + y) = 85x + 100y
(92 – 85) x = (100 – 92) y
7x = 8y
\(\frac{x}{y}=\frac{8}{7}\)
x : y = 8 : 7
Alternate solution:

∴ Required ratio is 8 : 7.
Question 3.
If the calculated value of |t| < tv (α), then the null hypothesis is
(A) rejected
(B) accepted
(C) cannot be determined
(D) neither accepted nor rejected
Answer:
(B) accepted
Explanation:
Given, |t| < tv (α),

Question 4.
Which of the following values is used as a summary measure for a sample, such as a sample mean?
(A) Population Parameter
(B) Sample Parameter
(C) Sample Statistic
(D) Population mean
Answer:
(C) Sample Statistic
Question 5.
Two athletes Vijay and Samuel finish 100 meters race in 12 seconds and 16 seconds respectively. By how many meters does Vijay defeat Samuel?
(A) 10.2 meters
(B) 15 meters
(C) 25 meters
(D) 33.3 meters
Answer:
(C) 25 meters
Explanation:
Since, Vijay is faster by 4 seconds
∴ He beats Samuel by = \(\frac{100}{16}\) × 4
= 25 meters
Question 6.
Let X be a discrete random variable whose probability distribution is given below:

The value of K is
(A) \(\frac{1}{10}\)
(B) – 1
(C) – \(\frac{1}{10}\)
(D) \(\frac{1}{5}\)
Answer:
(A) \(\frac{1}{10}\)
Explanation:
Here, ΣPi = 1
∴ 0 + 2K + 2K + 3K + K2 + 2K2 + 7K2 + 2K = 1
⇒ 9K + 10K2 = 1
⇒ 10K2 + 9K – 1 = 0
⇒ 10K2 + 10K – K – 1 = 0
⇒ 10K(K + 1) – 1(K + 1) = 0
⇒ (K + 1) (10K – 1) = 0
⇒ K = – 1 and K = \(\frac{1}{10}\)
Since, K ≥ 0 therefore K = \(\frac{1}{10}\)
Question 7.
Assume that current time is 7:01) p.m. what time (in a.m. or p.m.) will it be in 1000 hours?
(A) 7 a.m.
(B) 11 a.m.
(C) 11 p.m.
(D) 2 a.m.
Answer:
(B) 11 a.m.
Explanation:
We know that time repeats after every 24 hours.
So, we find 1000 (mod 24).
∵ 1000 ≡ 24 × 41 + 16
So, 1000 ≡ 16 (mod 24)
∴ 1000 hours is equivalent to 16 hours.
Now, 7 : 00 p.m. + 16 hours = 11 a.m.
Question 8.
The present value of a perpetuity of ₹ R payable at the end of each payment period, when the money is worth i per period, is given by
(A) Ri
(B) R + \(\frac{R}{i}\)
(C) \(\frac{R}{i}\)
(D) R – Ri
Answer:
(C) \(\frac{R}{i}\)
Explanation:
Present value at the end of each payment period is \(\frac{R}{i}\).
Question 9.
The value of : ∫ (x + 3) (x + 2) dx
(A) \(\frac{x^3}{3}+\frac{5 x^2}{2}\) + 2x + C
(B) x3 + \(\frac{5}{2}\) x2 + x + C
(C) \(\frac{x^3}{3}+\frac{x^2}{2}\) + 2x + C
(D) \(\frac{x^3}{3}+\frac{x^2}{2}\) + x + C
Answer:
(A) \(\frac{x^3}{3}+\frac{5 x^2}{2}\) + 2x + C
Explanation:
Let, I = ∫ (x + 3) (x + 2) dx
= ∫ (x2 + 5x + 2) dx
= ∫ x2 dx + 5 ∫ x dx + 2 ∫ dx
= \(\frac{x^3}{3}+\frac{5 x^2}{2}\) + 2x + C
Question 10.
Which of the following is an example of time series problem?
(i) Estimating numbers of hotel rooms booking in next 6 months.
(ii) Estimating the total sales in next 3 years of an insurance company.
(iii) Estimating the number of calls for the next one week.
(A) Only (iii)
(B) (i) and (ii)
(C) (i), (ii) and (iii)
(D) (ii) and (iii)
Answer:
(C) (i), (ii) and (iii)
Explanation:
All the components are associated with time.
Question 11.
A machine costing ₹ 50,000 has a useful life of 4 years. The estimated scarp value is ₹ 10,000, then the annual depreciation is
(A) ₹ 20,000
(B) ₹ 10,000
(C) ₹ 5,000
(D) ₹ 2,500
Answer:
(B) ₹ 10,000
Explanation:
Annual depreciation = \(\frac{\text { Original cost }- \text { Scrap value }}{\text { Useful life }}\)
= \(\frac{50,000-10,000}{4}\)
= \(\frac{40,000}{4}\)
= 10,0o0
Question 12.
Assume that the year-end revenues of a business over a three period, are mentioned in the following table:
| Year End | 31 – 12 – 2018 | 31 – 12 – 2021 |
| Year End Revenue | 9,000 | 13,000 |
Calculate the CAGR of revenues over, three-years period spanning the “end” of 2018 to the “end” of 2021. Given that \(\left(\frac{13}{9}\right)^{\frac{1}{3}}\) = 1.13
(A) 13%
(B) 14%
(C) 15%
(D) None of these
Answer:
(A) 13%
Explanation:
The CAGR of the revenues over the three years period spanning the “end” of 2018 to “end” of 2021 is
\(\left(\frac{\text { Final value }}{\text { Initial Value }}\right)^{\frac{1}{n}}\) – 1 = \(\left(\frac{13000}{9000}\right)^{\frac{1}{3}}\) – 1
= 1.13 – 1
= 0.13
= 13 %
Question 13.
Assume that Shyam holds a perpetual bond that generates an annual payment of ₹ 500 each year. He believes that the borrower is creditworthy and that an 8% interest rate will be suitable for this bond. The present value of this perpetuity is
(A) ₹ 6520
(B) ₹ 6250
(C) ₹ 5620
(D) ₹ 2650
Answer:
(B) ₹ 6250
Explanation:
PV of perpetuity = \(\frac{\text { Annual Payment/Cash flow }}{\text { Interest rate/yield }}\)
= \(\frac{\frac{500}{8}}{\frac{8}{100}}\)
= \(\frac{500}{0.08}\)
= 6250
Question 14.
The order of the differential equation 2x2 \(\frac{d^2 y}{d x^2}\) – 3 \(\frac{d y}{d x}\) + y = 0
(A) 2
(B) 1
(C) 0
(D) Not defined
Answer:
(A) 2
Explanation:
2x2 \(\frac{d^2 y}{d x^2}\) – 3 \(\frac{d y}{d x}\) + y = 0
The highest order derivative present in the given differential equation is \(\frac{d^2 y}{d x^2}\).
Therefore, its order is two.
Question 15.
The optimal value of the objective function is attained at the points
(A) on X-axis
(B) on Y-axis
(C) which are corner points of the feasible region
(D) None of these
Answer:
(C) which are corner points of the feasible region
Explanation:
The optimal value of the objective function is attained at the corner points of feasible region.
Question 16.
II ‘m’ is the mean of Poisson distribution, then its standard deviation is given by
(A) √m
(B) m2
(C) m
(D) \(\frac{m}{2}\)
Answer:
(A) √m
Explanation:
In case of Poisson distribution
S.D = \(\sqrt{mean}\)
Thus S.D = √m [Given mean = m]
Question 17.
Prosperity, Recession and depression in a business is an example of
(A) Irregular Trend
(B) Secular Trend
(C) Cyclical Trend
(D) Seasonal Trend
Answer:
(C) Cyclical Trend
Explanation:
There are 4 phases through which trade cycles are passed. They are prosperity recession, depression and recovery. In economic terms, these 4 stages are called economic fluctuations.
Question 18.
If we reject the null hypothesis, we might be making
(A) Type-I error
(B) Type-II error
(C) A correct decision
(D) A wrong decision
Answer:
(A) Type-I error
E;planahon:
Type I error: The error of rejecting hy pothesis (H0) when it is true.
DIRECTION:
In the following questions, a statement of Assertion (A) is followed by a statement of Reason (R). Choose the correct answer out of the following choices.
(A) Both (A) and (R) are true and (R) is the correct explanation of (A).
(B) Both (A) and (R) are true but (R) is not the correct explanation of (A).
(C) (A) is true but (R) is false.
(D) (A) is false but (R) is true.
Question 19.
Assertion (A) : It is given that at x = 1, the function x4 – 62x2 + ax + 9 attains its maximum value, on the interval [0, 2], Then values of a is 120.
Reason (R) : To find the value of a put f'(1) = 0.
Answer:
(A) Both (A) and (R) are true and (R) is the correct explanation of (A).
Explanation:
f(x) = x4 – 62x2 + ax + 9
Therefore, f’(x) = 4x3 – 124x + a
f attains its maximum value on the interval [0, 2] at x = 1.
Therefore, f’(x) = 0
4 – 124 + a = 0
a = 120.
Question 20.
Assertion (A) : Variance of a constant ‘a’ is a2.
Reason (R) : Variance of a constant ‘a’ is 0.
Answer:
(D) (A) is false but (R) is true.
Explanation:
∵ Var (x) = E(X2) – (E(X))2
∴ Var (a) = E(a2) – (E(a))2
= a2 – a2 = 0
Section – B
(All Questions are compulsory. In case of internal Choice, attempt any one question only)
Question 21.
Find the present value of a perpetuity of ₹ 3,120 payable at the beginning of each year, if money is worth 6% effective.
Answer:
Given, R = ₹ 3,120
and i = \(\frac{6}{100}\) = 0.06
Present value, P = R + \(\frac{R}{i}\)
= ₹ (3120 + \(\frac{3120}{0.06}\))
= ₹ (3120 + 52,000)
= ₹ 55,120
Question 22.
If A = \(\left(\begin{array}{cc}
0 & 3 \\
2 & -5
\end{array}\right)\) and kA = \(\left(\begin{array}{cc}
0 & 4 a \\
-8 & 5 b
\end{array}\right)\), find the values of k and a.
Answer:
A = \(\left(\begin{array}{cc}
0 & 3 \\
2 & -5
\end{array}\right)\)
kA = \(\left[\begin{array}{cc}
0 & 3 k \\
2 k & -5 k
\end{array}\right]\)
But given kA = \(\left[\begin{array}{cc}
0 & 4 a \\
-8 & 5 b
\end{array}\right]\)
∴ \(\left[\begin{array}{cc}
0 & 3 k \\
2 k & -5 k
\end{array}\right]=\left[\begin{array}{cc}
0 & 4 a \\
-8 & 5 b
\end{array}\right]\)
Equating individual terms,
2k = – 8
⇒ k = – 4
3k = 4a
3 × (- 4) = 4a
⇒ a = – 3.
OR
If x = – 9 is a root of \(\left|\begin{array}{lll}
x & 3 & 7 \\
2 & x & 2 \\
7 & 6 & x
\end{array}\right|\) = 0, then find the other roots.
Answer:
Since \(\left|\begin{array}{lll}
x & 3 & 7 \\
2 & x & 2 \\
7 & 6 & x
\end{array}\right|\) = 0
Expanding along R1,
⇒ x (x2 – 12) – 3 (2x – 14) + 7 (12 – 7x) = 0
⇒ x3 – 12x – 6x + 42 + 84 – 49x = 0
⇒ x3 – 67x + 126 = 0
Here 126 × 1 = 9 × 2 × 7
For x = 2,
⇒ 23 – 67 × 2 + 126 = 134 – 134 = 0
Hence, x = 2 is a root.
For x = 7,
⇒ 73 – 67 × 7 + 126 = 469 – 469 = 0
Hence, x = 7 is also a root.
Question 23.
A small firm manufactures necklaces and bracelets. The total number of necklaces and bracelets “that it can handle per day is at most 24. It takes one hour to make a bracelet and half an hour to make a necklace. The maximum number of hours available per day is 16. if the profit on a necklace is ₹ 100 and that on a bracelet is ₹ 300. Formulate a LPP for finding how many of each should be produced daily to maximize the profit? It is being given that at least one of each must be produced.
Answer:
Let x be the number of necklaces manufactured
and y be the number of bracelets manufactured.
The total number of necklaces and bracelets it can handle is at most 24.
x + y ≤ 24
The x items takes \(\frac{x}{2}\) hours to manufacture
and y items take y hours to manufacture and the maximum time available is 16 hours.
So,
\(\frac{x}{2}\) + y ≤ 16
The profit on one necklace is given as ₹ 100 and the profit on one bracelet is given as ₹ 300.
Let the profit be Z. To maximize the profit,
Z = 100x + 300y
Therefore, the required LPP is:
Max. Z = 100x + 300y
Subject to constraints,
x + y ≤ 24
\(\frac{x}{2}\) + y ≤ 16
x, y ≥ 1
Question 24.
Find the least positive value of x such that 5x ≡ 4 (mod 6).
Answer:
5x ≡ 4 (mod 6)
5x – 4 = 6n for some integer n
x = \(\frac{6 n+4}{5}\)
When we put n = 1, 6, 11, 16 ……; then 6n + 4 is divisible by 5.
When n = 1, x = \(\frac{6 \times 1+4}{5}\) = 2
Therefore, the least positive value of x is 2.
OR
An electric pump can fill a tank in 3 hours. Because of a leak in the tank it took 3 \(\frac{1}{2}\) hours to fill the tank. If the tank is full, how much time will the leak take to empty it?
Answer:
Work done by the leak in 1 hour = \(\left[\frac{1}{3}-\frac{1}{\left(\frac{7}{2}\right)}\right]\)
= \(\left(\frac{1}{3}-\frac{2}{7}\right)=\frac{1}{21}\)
∴ The leak will empty the tank in 21 hours.
Question 25.
A wholesaler in apples claims that only 4 % of the apples supplied by him are defective. A random sample of 600 apples contained 36 defective apples. Calculate the standard error concerning good apples.
Answer:
Sample size = 600
No. of defective apples = 36
Sample proportion P = \(\frac{36}{100}\) = 0.06
Population proportion P = probability of defective apples = 4% = 0.04
Q = 1 – P
1 – 0.04 = 0.96
The SE. for sample proportion is given by S.E.
= \(\sqrt{\frac{P Q}{N}}\)
= \(\sqrt{\frac{(0.04)(0.96)}{600}}\)
= \(\sqrt{0.000064}\) = 0.008
Section – C
(All Questions are compulsory. In case of internal Choice, attempt any one question only)
Question 26.
Find: ∫ \(\frac{(2 x-5) e^{2 x}}{(2 x-3)^3}\) dx.
Answer:
Let 2x = t

OR
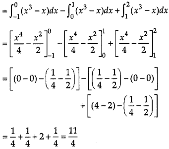
Evaluate: \(\int_{-1}^2\) |x3 – x| dx.
Answer:
∵ \(\int_{-1}^2\) |x3 – x| dx

Question 27.
If A = \(\left[\begin{array}{ccc}
2 & 0 & 1 \\
2 & 1 & 3 \\
1 & -1 & 0
\end{array}\right]\), find A2 – 5A + 4I and hence find a matrix X such that A2 – 5A + 4I + X = 0.
Answer:
Getting, A2 = A . A

Question 28.
Find the intervals in which f(x) = \(\frac{3}{10}\) x – \(\frac{4}{5}\) x – 3x2 + \(\frac{36}{5}\) x + 11 is
(a) strictly increasing
(b) strictly decreasing.
Answer:
We have, f(x) = \(\frac{3}{10}\) x – \(\frac{4}{5}\) x – 3x2 + \(\frac{36}{5}\) x + 11
f’(x) = \(\frac{12}{10} x^3-\frac{12}{5} x^2-6 x+\frac{36}{5}\)
= \(\frac{6}{5}\) (x – 1) (x + 2) (x – 3)

f’(x) = 0 at x = 1, – 2, 3
∴ Intervals are (- ∞, – 2), (- 2, 1), (1, 3) and (3, ∞)
∵ f’(x) > 0 for (- 2, 1) ∪ (3, ∞)
fix) is strictly increasing in (- 2, 1) and (3, ∞)
∵ f‘(x) < 0 for (- ∞ , – 2) and (1, 3)
f(x) is strictly decreasing in (- ∞, – 2) ∪ (1, 3).
Question 29.
Find the area of the region bounded by the curve x2 = 4y and the straight-line x = 4y – 2.
Answer:
x2 = x + 2
x2 – x – 2 = 0
(x – 2) (x + 1) = 0
x = – 1, 2
For x = – 1, y = \(\frac{1}{4}\) and for x = 2, y = 1
Points of intersection are (- 1, \(\frac{1}{4}\)) and (2, 1).
Graphs of parabola x2 = 4y and the straight line x = 4y – 2 are shown in the following figure:


OR
Suppose the demand for the certain product is given by p = – 0.01 x2 – 0.1 x + 6, where p is the unit price given in rupees and x is the quantity demanded per month given in the units of 1000. The unit market price for the product is ₹ 4 per unit.
(a) Find the quantity demanded at the given price.
Answer:
First we find the point of intersection of demand
curve and market price for the product i.e., (D, g).

Since, p is the unit price so we put p = 4 in demand curve
p = – 0.01 x2 – 0.1x + 6
i.e., 4 = – 0.01 x2 – 0.1x + 6
⇒ 0.01 x2 + 0.1x – 2 = 0
⇒ x2 + 10x – 2000 = 0
⇒ (x + 20) (x – 10) = 0
⇒ x = 10 (Neglecting x = – 20)
So, (D, g) = (10, 4)
Hence, the quantity demanded at the given price (Qe, Pe) = (10000, 4).
(b) Find the consumer’s surplus if the market price for the product is ₹ 4 per unit.
Answer:
Consumer’s surplus is given by
CS = \(\int_0^{Q_e}\) D(x) dx – Qe . Pe
Here, D(x) = – 0.01 x2 – 0.1x + 6
Qe = 10
Pe = p = 4
Thus,
CS = \(\int_0^{10}\) (- 0.01 x2 – o.1x + 6) dx – 10 × 4
= \(-0.01\left[\frac{x^3}{3}\right]_0^{10}-0.1\left[\frac{x^2}{2}\right]_0^{10}+6[x]_0^{10}\) – 40
= \(\frac{-0.01}{3}\left(10^3-0\right)-\frac{0.1}{2}\left(10^2-0\right)\) + 6 (10 – 0) – 40
= \(\frac{-10}{3}-\frac{10}{2}\) + 60 – 40
= 3.33333 – 5 + 20 = 11.6667
For 1000 units, 11.6667 × 1000 = 11666.7 = 11667.
Question 30.
A company ABC Ltd has raised funds in the form of 1,000 zero-coupon bonds worth ₹ 1,000 each. The company wants to. set up a sinking fund for repayment of the bonds, which will be after 10 years. Determine the amount of the periodic contribution if the annualized rate of interest is 5% and the contribution will be done half-yearly. Given that (1.025)20 = 1.6386.
Answer:
Sinking Fund, A = ₹ 1,000 x 1000 = ₹ 1,000,000,
r = 5% or 0.05,
No. of years, n = 10 years
and No. of payments per year, m = 2 (Half Yearly)
Periodic Contribution,

= ₹ 39,148.136 ~ ₹ 39,148.
Therefore, the company will be required to contribute a sum of ₹ 39,148 half-yearly in order to build the sinking fund to retire the zero-coupon bonds after 10 years.
Question 31.
Rohan purchased a laptop worth ₹ 80000. He paid ₹ 20,000 as cash down and balance in equal monyhly instalments in 2 years. If bank charges 9% p.a. compounded monthly. Calculate the EMI. [Given (1.0075)24 = 1.1964]
Answer:
Cost of laptop = ₹ 80,000
Down payment =₹ 20,000
∴ Balance = ₹ 60,000
So, P = ₹ 60,000,
i = \(\frac{9}{12 \times 100}\)
= 0.0075
and n = 2 × 12 = 24

Section – D
(This section comprises of long answer type questions (LA) of 5 marks each)
Question 32.
What is the probability that a standard normal variate Z will be
(i) greater than 1.09
(ii) less than – 1.65
(iii) lying between – 1.00 and 1.96
Answer:
(i) greater than 1.09
The total area under the curve is equal to 1, so that the total area to the right Z = O is 0.5 (since, the curve is symmetrical).
The area between Z = 0 and 1.09 (from tables) is 0.3621.

P(Z > 1.09) = 0.5000 – 0.3621 = 0.1379.
The shaded area to the right of Z = 1.09 is the probability that Z will be greater than 1.09.
(ii) less than – 1.65
The area between – 1.65 and 0 is the same as area between 0 and 1.65.
In the table the area between zero and 1.65 is 0.4505 (from the table).
Since, the area to the left of zero is 0.5, P(Z < 1.65) = 0.5000 – 0.4505 = 0.0495.

(iii) lying between – 1.00 and 1.96
The probability that the random variable Z in between – 1.00 and 1.% is found by adding the corresponding areas:

Area between – 1.00 and 1.96 = area between (- 1.00 and 0) + area between (0 and 1.96)
P(- 1.00 < Z < 1.%) = P(- 1.00 < Z < 0) + P(0 < Z < 1.96)
= 0.3413 + 0.4750 (by tables)
= 0.8163
OR
A die is thrown 6 times. If “getting an odd number” is a “success”, what is the probability of
(i) 5 successes?
Answer:
Let p be the probability of success i.e., getting an odd number
∴ n = 6
p = \(\frac{n(1,3,5)}{n(1,2,3,4,5,6)}=\frac{3}{6}=\frac{1}{2}\)
and q= 1 – p = 1 – \(\frac{1}{2}\) = \(\frac{1}{2}\)
Let x be the binomial variable number of successes’
∴ By Binomial distribution,
P(x = r) = nCr prqn-r, 0 ≤ r ≤ n
∴ P(x = r) = \({ }^6 C_r\left(\frac{1}{2}\right)^r\left(\frac{1}{2}\right)^{6-r}\), 0 ≤ r ≤ 6
= \({ }^6 C_r\left(\frac{1}{2}\right)^6\), 0 ≤ r ≤ 6
= \(\left(\frac{1}{64}\right)^6 C_r\), 0 ≤ r ≤ 6
P(exactly 5 successes) = p(x = 5)
= \(\left(\frac{1}{64}\right)\) 6C5
= \(\left(\frac{1}{64}\right)\) × 6
= \(\frac{3}{32}\)
(ii) atmost 5 sucesses?
Answer:
P(atmost 5 successes) = P(x ≤ 5)
= P(x = 0) + P(x = 1) + P(x = 2) + P(x = 3) + P(x = 4) + P(x = 5)
= \(\frac{1}{64}\) [6C0 + 6C1 + 6C25 + 6C3 + 6C4 + 6C5]
= \(\frac{1}{64}\) [1 + 6 + 15 + 20 + 15 + 6]
= \(\frac{63}{64}\)
Question 33.
A manufacturing company makes two types of teaching aids A and B of Mathematics for class X. Each type of A requires 9 labour hours for fabricating and 1 labour hour for finishing. Each type of B requires 12 labour hours for fabricating and 3 labour hours for finishing. For fabricating and finishing, the maximum labour hours available per week are 180 and 30 respectively. The company makes a profit of ₹ 80 on each piece of type A and ₹ 120 on each piece of type B. How many pieces of type A and type B should be manufactured per week to get a maxium profit? Formulate this as Linear Programming Problem and solve it. Identify the feasible region from the rough sketch.
Answer:
Let the number of two types of teaching aids A
and B be x and y, respectively.
Write the given data in tabular form as following:

The profit on type A is ₹ 80 and type B is ₹ 120.
Thus, the required LPP is
Max. Z = 80x + 120y ……………(i)
Subject to constraints
9x + 12y ≤ 180
Or, 3x+4y ≤ 60 ………….(ii)
x + 3y ≤ 30
x ≥ 0, y ≥ 0
Consider the equation,
3x + 4y = 60
| x | 0 | 20 |
| y | 15 | 0 |
and x + 3y = 30
| x | 0 | 30 |
| y | 10 | 0 |
On solving eq. (ii) and (iii), we get
x = 12 and y = 6
The graphical representation of the system of inequations is as shown below.

From graph, feasible region is OABCO, whose corner points are (0, 0), A (20, 0), B (12, 6) and C (0, 10).
The values of Z at corner points are as follows:
| Corner Points | Values of Z = 80x + 120y |
| O (0, 0) | Z = 80 × 0 + 120 × 0 = 0 |
| A(20, 0) | Z = 80 × 20 + 120 × 0 = 1600 |
| B(12, 6) | Z = 80 × 12 + 120 × 6 = 1680 |
| C (0, 10) | Z = 80 × 0 + 120 × 10 = 1200 |
From the table, the maximum value of Z is ₹ 1680.
Hence, 12 pieces of type A and 6 pieces of type B should be manufactured per week to get maximum profit of ₹ 1680 per week.
Question 34.
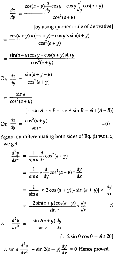
If x cos (a + y) = cos y, then prove that \(\frac{d y}{d x}=\frac{\cos ^2(a+y)}{\sin a}\). Hence, show that sin a \(\frac{d^2 y}{d x^2}\) + sin 2(a + y) \(\frac{d y}{d x}\) = 0.
Answer:
Given, x cos (a + y) = cos y
Or, x = \(\frac{\cos y}{\cos (a+y)}\)
On differentiating both sides w.r.t. y, we get

OR
An open topped box is to be made by removing equal squares from each corner of a 3 m by 8 m rectangle sheet of aluminium and by folding up the side. Find the volume of the largest such box.
Answer:
Given rectangle is of breadth = 3 m
and length = 8 m

Let x be the length of each square removed from
the corners
Volume of box = V(x) = (8 – 2x) (3 – 2x)x
= x (24 – 16x – 6x + 4×2)
= 24x – 22x2 + 4x3
V'(x) = 24 – 44x + 12x2
For max. and min. volume V'(x) = 0
⇒ 12x2 – 44x + 24 = 0
⇒ 3x2 – 11x + 6 = 0
⇒ 3x2 – 9x – 2x + 6 = 0
⇒ (x – 3) (3x – 2) = 0
⇒ x = 3 (not possible) or 3x = 2
⇒ x = \(\frac{2}{3}\)
Now, V”(x) = – 44 + 24x
at x = \(\frac{2}{3}\)
V” (\(\frac{2}{3}\)) = – 44 + 24 (\(\frac{2}{3}\)) < 0
∴ Volume is maximum when x = \(\frac{2}{3}\)
Volume (V) = \(\left(8-2\left(\frac{2}{3}\right)\right)\left(3-2\left(\frac{2}{3}\right)\right)\left(\frac{2}{3}\right)\)
= \(\left(8-\frac{4}{3}\right)\left(3-\frac{4}{3}\right)\left(\frac{2}{3}\right)\)
= \(\frac{20}{3} \times \frac{5}{3} \times \frac{2}{3}\)
= \(\frac{200}{27}\) m3
Question 35.
Prove that \(\left|\begin{array}{ccc}
y z-x^2 & z x-y^2 & x y-z^2 \\
z x-y^2 & x y-z^2 & y z-x^2 \\
x y-z^2 & y z-x^2 & z x-y^2
\end{array}\right|\) is divisible by (x + y + z) and hence find the quotient.
Answer:
L.H.S. = \(\left|\begin{array}{ccc}
y z-x^2 & z x-y^2 & x y-z^2 \\
z x-y^2 & x y-z^2 & y z-x^2 \\
x y-z^2 & y z-x^2 & z x-y^2
\end{array}\right|\)
Applying R2 → R2 – R1 common from R3 and R3
= (x + y + z)2 \(\left|\begin{array}{ccc}
y z-x^2 & z x-y^2 & x y-z^2 \\
x-y & y-z & z-x \\
x-z & y-x & z-y
\end{array}\right|\)
Applying C1 → C1 + C2 + C3
= (x + y + z)2 \(\left|\begin{array}{ccc}
(x y+y z+z x)-\left(x^2+y^2+z^2\right) & z x-y^2 & x y-z^2 \\
0 & y-z & z-x \\
0 & y-x & z-y
\end{array}\right|\)
Expanding along C1
= (x + y + z)2 [xy + yz + zx – (x2 + y2 + z2)] [(y – z)(z – y) – (z – x)(y – x)]
= (x + y + z)2 [xy + yz + zx – (x2 + y2 + z2)] [yz – y2 – z2 + yz – yz + xz + xy – x2]
= (x + y + z)2 [xy + yz + zx- (x2 + y2 + z2)]2
Hence, it is divisible by (x + y + z) and the quotient is (x + y + z) [xy + yz + zx – (x2 + y2 + z2)]2.
Section – E
(This section comprises of 3 source based questions (Case Studies) of 4 marks each)
CASE STUDY-I:
Question 36.
Read the following text and answer the following questions on the basis of the same:
Riya is doing her Mathematics homework given in the class. Her teacher gave a problem related to the topic ‘Boats and Streams’. She is very confused in this topic, the question given by the teacher is
“A man can row 5 km/h in still water, if in a river running at 2 km an hour, it takes him 40 minutes to row to a place and return back”.

(i) What is the downstream speed?
Answer:
Speed of the man in still water = 5 km/h
and speed of the river = 2 km/h
Downstream speed = Speed of man in still water + Speed of the river
= 5 + 2 = 7 km/h
(ii) What is the upstream speed?
Answer:
Upstream speed = Speed of man in still water – Speed of the river
= 5 – 2 = 3 km/h
(iii) A man rows downstream 30 km and upstream 12 km. if he takes 4 hours to cover each distance, then find the speed of the stream.
Answer:
Downstream speed = Distance travelled downstream / Time taken
= \(\frac{30}{4}\) Km/h
Upstream speed = Distance travelled in upstream / Time taken = \(\frac{12}{4}\)
Speed of the stream = \(\frac{1}{2}\) (Downstream speed – upstream speed)
= \(\frac{1}{2}\left(\frac{30}{4}-\frac{12}{4}\right)\)
= \(\frac{1}{2}\left(\frac{18}{4}\right)\)
= 2.25 km/h
OR
A boat travels at 9 km/h along the stream and 6 km/h against the stream. Find the speed of the boat in still water.
Answer:
Downstream speed of the boat = 9 km/h
Upstream speed of the boat = 6 km/h
Speed of the boat in still water = (Downstream speed + Upstream speed)
= \(\frac{1}{2}\) (9 + 6)
= 7.5 km/h
CASE STUDY – II
Question 37.
Read the following text and answer the following questions on the basis of the same:
We take 8 identical slips of paper; write the number 0 on one of them, the number 1 on three of the slips, the number 2 on three of the slips and the number 3 on one of the slip. These slips are folded, put in a box and thoroughly mixed. One slip is drawn at random from the box. If X is the random variable denoting the number written on the drawn slip, answer the following questions:

(i) How many total values X can take?
Answer:
Clearly X can take values 0, 1, 2, 3.
So, in total X can take total 4 values.
(ii) Find the probability when X = 0.
Answer:
P(X = 0) = (Probability of getting a slip written 0 on it) = \(\frac{1}{8}\)
OR
Find the probability when X = 1.
Answer:
P(X = 1) = (Probability of getting a slip written 1 on it) = \(\frac{3}{8}\)
(iii) Find the expected value.
Answer:
Here, probability distribution is given by:

E(X) = \(\sum_{i=0}^3 X_i P\left(X_i\right)\)
= \(0 \times \frac{1}{8}+1 \times \frac{3}{8}+2 \times \frac{3}{8}+3 \times \frac{1}{8}\)
= \(0+\frac{3}{8}+\frac{6}{8}+\frac{3}{8}=\frac{12}{8}=\frac{3}{2}\)
CASE STUDY-III
Question 38.
Fit a straight line trend by the method of least square to the following data on sales (in lakhs) for the period 2011-2018.

Answer:

Now, a = \(\frac{\sum y_i}{n}\)
= \(\frac{1052}{8}\) = 131.5
b = \(\frac{\sum x_i y_i}{\sum x_i^2}\)
= \(\frac{1232}{168}\) = 7.33
So, trend equation is
y = 131.5 + 7.33x
OR
Calculate four-yearly moving averages of number of students studying in a higher secondary school in a particular city from the following data.
| Year | Number of Students |
| 2011 | 124 |
| 2012 | 120 |
| 2013 | 135 |
| 2014 | 140 |
| 2015 | 145 |
| 2016 | 158 |
| 2017 | 162 |
| 2018 | 170 |
| 2019 | 175 |
Answer:
Computation of four-yearly moving averages:
