Each of our Ganita Prakash Class 6 Worksheet and Class 6 Maths Chapter 5 Prime Time Worksheet with Answers Pdf focuses on conceptual clarity.
Class 6 Maths Chapter 5 Prime Time Worksheet with Answers Pdf
Prime Time Class 6 Maths Worksheet
Class 6 Maths Chapter 5 Worksheet with Answers – Class 6 Prime Time Worksheet
A. Choose the correct option.
Question 1.
The smallest multiple of a number is:
(a) odd
(b) even
(c) the number itself
(d) not possible
Answer:
(c) the number itself
Question 2.
Which of the following is the smallest prime number?
(a) 0
(b) 1
(c) 2
(d) 3
Answer:
(c) 2
Question 3.
The total count of prime numbers between 16 to 80 and 90 to 100 is:
(a) 20
(b) 18
(c) 17
(d) 16
Answer:
(c) 17
Question 4.
The number of distinct prime factors of the largest 4-digit number is:
(a) 2
(b) 3
(c) 5
(d) 11
Answer:
(a) 2
Question 5.
If the ones place digit of a number is 0, 2, 4, 6 or 8, then it must be divisible by:
(a) 2
(b) 4
(c) 8
(d) 10
Answer:
(a) 2
![]()
Question 6.
___ is the smallest odd prime number.
(a) 2
(b) 1
(c) 3
(d) 0
Answer:
(c) 3
Question 7.
The product of a non-zero whole number and its successor is always divisible by:
(a) 2
(b) 3
(c) 4
(d) 5
Answer:
(a) 2
Question 8.
The sum of the first three common multiples of 3, 4, and 9 is:
(a) 108
(b) 144
(c) 252
(d) 216
Answer:
(d) 216
Assertion (A) & Reason (R) Questions.
Directions. In the following questions, a statement of Assertion (A) is followed by a statement of Reason (R). Choose the correct option as:
(a) Both Assertion (A) and Reason (R) are true and Reason (R) is the correct explanation of Assertion (A).
(b) Both Assertion (A) and Reason (R) are true but Reason (R) is not the correct explanation of Assertion (A).
(c) Assertion (A) is true but Reason (R) is false.
(d) Assertion (A) is false but Reason (R) is true.
Question 1.
Assertion. (A): The number 9 and 25 are coprime.
Reason. (R): A number is said to be prime if it has only two factors 1 and the number itself.
Answer:
(b) Both Assertion (A) and Reason (R) are true but Reason (R) is not the correct explanation of Assertion (A).
Question 2.
Assertion (A): The number 1 is considered a prime number.
Reason (R): A prime number must have exactly two factors.
Answer:
(d) Assertion (A) is false but Reason (R) is true.
![]()
B. Fill in the blanks.
1. The smallest even prime number is ___________.
Answer:
2
2. The smallest odd composite number is ___________.
Answer:
9
3. Pair of consecutive numbers are always ___________ numbers.
Answer:
co-prime
4. The numbers between 1 and 10 that have exactly two factors are ___________.
Answer:
2, 3, 5, 7
5. A prime triplet is a set of ___________ consecutive prime numbers differing by 2.
Answer:
three
6. A number is divisible by 4, if the number formed by last two digits is divisible by ___________.
Answer:
4
7. If a number is divisible by 10, then it will also divisible by ___________.
Answer:
2 and 5
C. State whether the following statements are true (T) or false (F).
1. A factor of a number is either less than or equal to the given number
Answer:
True
2. Every multiple of a number is greater than or equal to the number.
Answer:
True
3. Multiples of a number are finite.
Answer:
False
4. Numbers having more than two factors are called composite numbers.
Answer:
True
5. All the numbers divisible by 8 are necessarily divisible by 4.
Answer:
True
6. A number is divisible by 8, if a number formed by the last two digits is divisible by 8.
Answer:
False
D. Solve the following questions.
Question 1.
Using each of the digits 1, 2, 3, and 4 only once, determine the smallest 4-digit number divisible by 4.
Answer:
1324
Question 2.
Find the odd multiples of 7 that are greater than 30 but less than 80.
Answer:
35, 49, 63, 77
Question 3.
‘The product of three consecutive numbers is always divisible by 6’. Is the statement true? Justify your answer with examples.
Answer:
Yes
Question 4.
Using prime factorisation, check whether the Jo[[owtrtg pairs of numbers are co-prime.
(a) 76 and 85
(b) 121 and 169
(c) 343 and 216
Answer:
(a) Yes
(b) Yes
(c) Yes
Question 5.
Find all the prime factors of 1729 and arrange them in ascending order.
Answer:
7, 13, 19
Question 6.
Find a 4-digit odd number using each of the digits 1, 2, 4, and 5 only once such that when the first and the last digits are interchanged, it is divisible by 4.
Answer:
4125 (answer may vary)
Hots Questions
I am a 3-digit number.
The sum of my digits is 5 and I am prime too.
If my ones and hundreds digits are interchanged, I still remain prime.
Who am I?
![]()
Fun Time
There are a few words related to the chapter ‘Prime Time’ that ! puzzle. Find as many words as you can. One has been found for are hidden you. in this word search

Ríddhi and Siddhi are siblings. After completing their school homework both are confused about what to play.

Riddhi: Hey! I am very confused, about what we play.
Siddki: Yes! You are right. I want to play an interesting game.
Mother: You should play a game with dice, the name of the game is ‘Challenge Accepted’. It is a very interesting game, and the rules of the game are:
- One by one, both the players will throw the dice.
- The first player will throw a die and give a challenge to the second player to tell the first 5 multiples of the number that comes on the die.
- By telling the correct multiples of that number, the player will win the round.
Rlddki: Wow! It sounds interesting. Let’s play.
Suppose, you are playing this game with your friend. Your friend throws the dice, and some numbers come, write the first five multiples of those numbers in the blanks given below.
If number 1 comes, then the Just 5 multiples of 1 are ___, ___, ___, ___, ___
If number 2 comes, then the first 5 multiples of 2 are ___, ___, ___, ___, ___
If number 3 comes, then the first 5 multiples of 3 are ___, ___, ___, ___, ___
If number 4 comes, then the first 5 multiples of 4 are ___, ___, ___, ___, ___
If number 5 comes, then the first 5 multiples of 5 are ___, ___, ___, ___, ___
If number 6 comes, then the first 5 multiples of 6 are ___, ___, ___, ___, ___
Thus, if a particular number is multiplied by the natural numbers, we get the multiples of that particular number. Or, a multiple of a number is obtained by multiplying it with a natural number.
Question 1.
Write the first six multiples oj the Jollowlrtg numbers.
(a) 7: ____________________________
(b) 8 : ____________________________
(c) 11 : ____________________________
(d) 14: ____________________________
Answer:
(a) 7, 14, 21, 28, 35, 42
(b) 8,16, 24, 32, 40, 48
(c) 11, 22, 33, 44, 55, 66
(d) 14, 28, 42, 56, 70, 84
Question 2.
(a) How many multiples of 9 are there between 10 and 100? Write them.
____________________________
Answer:
18, 27, 36, 45, 54, 63, 72, 81, 90, 99
(b) How many multiples of 12 are there between 50 and 150? Write them.
____________________________
Answer:
60, 72, 84, 96, 108,120, 132, 144
(c) Write all the possible multiples of 35 that lie between 150 and 360.
____________________________
Answer:
175, 210, 245, 280, 315, 350
Think and Answer
Which one is smaller: the 3rd multiple of 2 or the product of the first 2 multiples of 3?
Answer:
The 3rd multiple of 2
Common Multiples
‘A mysterious maze’ Whisker and Squeaky, the mouse, are good friends. They went to a fair with their families, and they lost their families. They were afraid, but they were brave. He knew where their family lived. But they don’t know the way to their home.
Here is a mysterious maze of different paths, and both the mice have different routes to their homes.

Question 3.
Help Whisker and Squeaky in finding the correct path so that they reach at their home safely. Whisker will start with 3 and will continue moving on the multiples of3 till he reaches his home, which is located at 99. Squeaky will start with 4 and will continue moving on the multiples of 4 till he reaches his home, which is located at 88.

(a) Will Whisker and Squeaky meet at any number on their path while going to their home?
____________________________
Answer:
Yes
(b) Can you identify the numbers on the path where Whisker and Squeaky meet? What do you call those numbers? Write those numbers.
____________________________
Answer:
Yes, 12, 24, 36, 60, Common multiple
(c) The given diagram presents the numbers that fall on the path of Whisker and Squeaky till 40. What do you observe from this? Complete it.

Answer:

![]()
Question 4.
Draw the similar diagram for the complete path of their homes till 84.

Question 5.
Find first six common multiples of the following pairs of numbers.
(a) 3 and 5
(b) 6 and 8
(c) 9 and 12
(d) 10 and 15
(e) 12 and 18
(f) 14 and 18
Answer:
(a) 15, 30, 45, 60, 75, 90
(b) 24, 48, 72, 96, 120, 144
(c) 36, 72,108,144, 180, 216
(d) 30, 60, 90, 120, 150, 180
(e) 36, 72,108,144, 180, 216
(f) 126, 252, 378, 504, 630, 756
Question 6.
Look at the table below.

(a) Circle the numbers that are multiples of 3.
(b) Shade the number green that are multiples of 4.
(c) Which numbers are both shaded and circled?
(d) What are these numbers called?
Answer:
(c) 60,72,84,96
(d) Common multiples
Question 7.
Find any five numbers that are multiples of 15 but not multiples of 10.
Answer:
15, 45, 75,105, 135
Factors
Juhi has collected some flowers from the garden for making a rangoli pattern on Navratri festival. Among the flowers, she has 18 marigold flowers, and she wants to arrange them in different orders. Help Juhi to represent these 18 marigold flowers in different orders. That is 2 × 9, 3 × 6, 6 × 3 and 9 × 2.
One arrangement has been shown here.

When two or more numbers are multiplied, then the result is called the product of those numbers, and the numbers themselves are called the factors of this product.
Here, 18 can be written as a product of two numbers in different ways as:
1 × 18, 2 × 9, 3 × 6, 9 × 2, 6 × 3, and 18 × 1.
So, 1, 2, 3, 6, 9, and 18 are the factors of the number 18.
Also, 1, 2, 3, 6, 9, and 18 are the exact divisors of 18.
Similarly, 1, 3, 5, and 15 are the factors of the number 15.
Hence, a factor of a number is also an exact divisor of that number.
Question 8.
Write all the possible factors of the following numbers:
(a) 12
(b) 14
(c) 18
(d) 24
(e) 36
(f) 42
Answer:
(a) 1, 2, 3, 4, 6, 12
(b) 1, 2, 7, 14
(c) 1, 2, 3, 6, 9, 18
(d) 1, 2, 3, 4, 6, 8, 12, 24
(e) 1, 2, 3, 4, 6, 9, 12, 18, 36
(f) 1, 2, 3, 6, 7, 14, 21, 42
Question 9.
Check 9 a factor of 108 or not.

Answer:
Yes
Think and Answer
What am I?
1. I am a number less than 58. One of my factors is 7. The sum of my digits is 11.
Answer:
56
2. I am a number less than 100. Two of my factors are 3 and 5. One of my digits is 1 more than the other.
Answer:
45
![]()
Common Factors
Question 10.
Suppose a grasshopper Is at the number 18 on a number line, and a frog starts to jump to catch the grasshopper bg taking jumps of size 3 at a time.

(a) Will he catch the grasshopper by taking jump size of 3? Give reason.
Answer:
Yes
(b) Help the frog so that he can catch the grasshopper by showing the jumps of jump size 3. One jump has been shown on the number line.

In how many jumps will the frog catch the grasshopper? Also, write the numbers on which the frog will land on his way.
Answer:

6, 3, 6, 9, 12, 15, 18
(c) Now, the frog decreases the jump size to 2. In how many jumps will the frog catch the grasshopper?
Show his jumps on the number line ____________________________

Write the numbers on which the frog will land on his way.
____________________________
Answer:

2, 4, 6, 8, 10, 12, 14, 16, 18
(d) Are there any more jump sizes possible to catch the grasshopper? Write them.
____________________________
Now, the grasshopper shifts his position from 18 to 24 on the number line.
Answer:
Yes; 1, 6 and 18
(e) Can the frog still catch the grasshopper if he takes the same jump sizes as he took in above part that is 2 and 3? Show his jumps for both jump sizes and the number lines to catch the grasshopper.
For jump size 2:

For jump size 3:

Answer:

(f) Write all the possible jump sizes to catch the grasshopper which is at 24.
____________________________
Answer:
1, 2, 3, 4, 6, 8, 12, 24
(g) In both cases, when the grasshopper was at 18 and 24 on the number line. Were the few jump sizes taken by the frog common? Write them. What do we call these common jump sizes?
____________________________
Answer:
1, 2, 3, 6; common factors
Question 11.
Find the commoa factors of tke followiag pairs of aum.bers.
(a) 12 and 18
(b) 24 and 42
(c) 32 and 48
(d) 35, 60 and 90
(e) 27, 63, and 96
(f) 48, 56 and 72
Answer:
(a) 1, 2, 3, 6
(b) 1, 2, 3, 6
(c) 1, 2, 4, 8, 16
(d) 1, 5
(e) 1, 3
(f) 1, 2, 4, 8
PRIME AND COMPOSITE NUMBERS
Sommya and Mannya are two sisters. They are ptaying a game, Jinding prime and composite numbers. Sommya makes a grid and Jill only a Jew numbers from numbers 1 to 100 and crosses out the number 1. She asks Mannya to complete this number grid.

- Help Mannya to complete this number grid by Jilling in the missing numbers up to 100.
Now, Mannya asks Sommya to encircle the number 2 and cross out all the other multiples of 2. - Encircle the number 2 and cross out all the other multiples of 2.
After that, Sommya asks Mannya to encircle the number 3 and cross out all the other multiples of 3. - Encircle the number 3 and cross out all the other multiples of 3. They repeat their turn.
- Encircle the number 5 and cross out all the other multiples of 5. (Some of the multiples of 5 have
already been crossed out as a multiple of 2 and 3). - Encircle the number 7 and cross out all the other multiples of 7. (Some of the multiples of 7 have already been crossed out as a multiple of 2, 3, and 5).
- Continue this process till all the numbers in the list are either encircled or crossed out.
Question 12.
Observe the number grid, answer the following.
(a) What type of numbers are represented by the encircled numbers in the number grid?
(b) What type of numbers are represented by the cross out numbers in the number grid?
(c) How many prime numbers are there between the numbers 1 and 100?
(d) Look at the list of primes from 1 to 100. What is the smallest and the largest difference between two successive primes?
(e) Is there any prime number which is an even number? Write it.
(f) Write all the prime numbers between the numbers 31 and 70.
(g) Write all the composite numbers between the numbers 51 and 90.
Answer:
(a) Prime numbers
(b) Composite numbers
(c) 25
(d) 1; 8
(e) 2
(f) 37, 41, 43, 47, 53, 59, 61, 67 64, 65, 66, 68, 69, 70, 72, 74, 75, 76, ,88.
(g) 52, 54,55, 56, 57, 58, 60, 62,1 77, 78, 80, 81, 82, 84, 85, 86,
Fun time
Help the butterfly to find its way to the flowers. If a number is prime, colour the spot green, and if the number is composite, colour the spot red. When you are finished, the butterfly will see a green path leading toward the flowers.

Think and Answer
Is your roll number a prime number? Check.
Co-prime Numbers (Co-prunes) and Twin-prime Numbers
Two natural numbers are considered co-prime numbers if they have no common factor other than 1.
Question 13.
Are the numbers 10 and 45 co-prime? Write a few pairs of co—prime numbers.
Answer:
No, 10 and 11, 22 and 43, 3 and 29, 13 and 61 and so on.
Question 14.
Check which of the following pairs of numbers are co-prime.
(a) 8 and 10
(b) 11 and 12
(c) 10 and 27
(d) 31 and 33
(e) 15 and 39
(f) 24 and 52
Twin prime numbers or twin primes are pairs of prime numbers that differ by 2.
Answer:
(a) No
(b) Yes
(c) Yes
(d) Yes
(e) No
(f) No
Question 15.
Write all the twin prime numbers between the numbers 15 and 100.
____________________________
____________________________
Answer:
(17, 19), (29, 31), (41, 43), (59, 61), (71, 73)
Perfect Numbers
A number for which the sum of all its factors is equal to twice the number is called a perfect number. For example, factors of 6 are 1, 2, 3 and 6 and the sum is 1 + 2 + 3 + 6= 12.
The number 6 is a perfect number.
How many perfect numbers are there between 1 and 25? Write them.
Question 16.
Express the following perfect numbers as tke sum of their factors.
(a) 28 = ____________________________
(b) 496 = ____________________________
Answer:
(a) 1 + 2 + 4 + 7 + 14 + 28
(b) 1 + 2 + 4 + 8 + 16 + 31 + 62 + 124 + 248 + 496.
![]()
Question 17.
Express each of the following numbers as the sum of two prime numbers.
(a) 21
(b) 31
(c) 61
(d) 74
Answer:
(a) 2 + 19
(b) 2 + 29
(c) 2 + 59
(d) 3 + 71
Question 18.
Express each of the following numbers as tke sum of three odd primes.
(a) 27
(b) 75
(c) 83
(d) 92
Answer:
(a) 3 + 5 + 19
(b) 5 + 11 + 59
(c) 7 + 23 + 53
(d) 2 + 7 + 83
Think and Answer
‘Between two given numbers, the greater one has always more number of factors’. Is the statement true? Justify your answer.
Answer:
No
PRIME FACTORISATION
We know that a number can be written as the product of two or more factors of that number. Expressing a number as the product of its factors is called factorisation.
The factors of a number may be prime or composite. The composite factor can be further split into prime numbers.

Thus, expressing a number into its prime factors is called prime factorisation.
There are two methods to factorise a number into its prime factors.
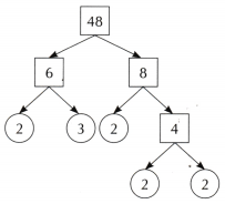
(i) Factor tree method: We first split the given number into two factors and then extend the branch. If the factor is a composite number, split it further. Continue the process till we arrive at all prime factors.

Let us take the number 48 and factorise it.
Think of a factor pair, say 48 = 6 × 8.
Write the factor pair of 6 i.e., 6 = 2 × 3
Think of a factor pair of 8 i.e., 8 = 2 × 4
Write the factor pair of 4 i.e., 4 = 2 × 2
Thus, 48 = 2 × 3 × 2 × 2 × 2 or
48 = 2 × 2 × 2 × 2 × 3
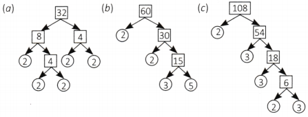
Question 19.
Complete the following factor-trees.

Answer:

Question 20.
Find the prime factors of the following numbers using the factor-tree method.
(a) 6
(b) 42
(c) 48
(d) 54
(e) 72
(f) 81
(ii) Division Method: In this method, we divide the given number which is to be factorise by the least prime numbers progressively till the quotient 1.
Let us take a number 108 and find the prime factorisation by division method.

Prime Factors of108 = 2 × 2 × 3 × 3 × 3.
Question 21.
Find the prime factors of the following numbers by division method.
(a) 144
(b) 256
(c) 512
Answer:

Using prime factorisation to check If one number Is divisible by another:
If one number is divisible by another, the prime factorisation of the second number is included in the prime factorisation of the first number.
Let us check if 160 is divisible by 24 or not.
First, find the prime factorisations of both numbers.
160 = 2 × 2 × 2 × 2 × 2 × 5 and 24 = 2 × 2 × 2 × 3.
As we can see the prime factor 3 is present in prime factorisation of 24 but not in prime factorisation of 160. So, 160 is not divisible by 24.
Question 22.
Is the first number divisible by the second? Use prime factorisation.
(a) 172, 12
(b) 225, 3
(c) 256, 18
(d) 324, 16
Answer:
(a) No
(b) Yes
(c) No
TEST OF DIVISIBILITY
Certain divisibility tests are used to test the divisibility of a number without performing actual division.
| A Number is Divisible by | Divisibility Rules | Example |
| 2 | If the digit at ones place of the number is 0, 2, 4, 6 or 8. | 1440, 1832, 4384, 1446, and 2768 are divisible by 2 as the last digits of the given numbers are 0, 2, 4, 6, and 8. |
| 4 | If the number formed by its digits at tens and units place (last two digits) is divisible by 4. | 2624 is divisible by 4 as the last two digits 24 is divisible by 4. |
| 5 | If the last (units) digit is either 0 or 5. | 1250, 4005, 7615, 8500, etc. are all divisible by 5 as they end in 0 or 5. |
| 8 | If the number formed by the last three digits (units, tens, and hundreds) of the given number is divisible by 8. | 64336 is divisible by 8 as the last three digits 336 is divisible by 8. |
| 10 | If its unit digit is 0. | 930, 7500, 4850, and 4090 are all divisible by 10. |
Question 23.
Using the divisibility tests, check whether the given numbers are divisible by 2, 4, 5, 8, and 10.

Answer:

Question 24.
Determine the two numbers nearest to 10000 that are exactly divisible by 2, 4, 5, and 8.
Answer:
10040,9960
Question 25.
Find the greatest 4-digit number which when divided b9 36, 30, 24 and 16 leaves a remainder 13 in. each case.
Answer:
9373
FUN WITH NUMBERS
Question 26.
Below are some boxes containing four numbers In each box. Within each box frg to say how each number Is special compared to the rest. Can you give two different reasons?

Question 27.
Fill the grid with only prime numbers so that the product of each row Is the number to the right of the row and the product of each column Is the number below the column.
