Free access of the complete Ganita Prakash Book Class 6 Solutions and Chapter 7 Fractions Class 6 NCERT Solutions Question Answer are crafted in simple format to align with the latest CBSE syllabus.
Class 6 Maths Chapter 7 Fractions Solutions
Fractions Class 6 Solutions Questions and Answers
7.1 Fractional Units and Equal Shares Figure it Out (Page No. 152 – 153)
Fill in the blanks with fractions.
Question 1.
Three guavas together weigh 1 kg. If they are roughly of the same size, each guava will roughly weigh ______kg.
Solution:
Given, weigh of 3 guavas = 1 kg,
then weigh of each of the guava = \(\frac{\text { total weight }}{3}=\frac{1}{3}\)kg

Question 2.
A wholesale merchant packed 1 kg of rice in four packets of equal weight. The weight of each packet is ____________ kg.
Solution:
\(\frac{1}{4}\)
Since 1 kg is needed to be divided into 4 equal parts.
A wholesale merchant packed 1 kg of rice in four packets of equal weight. The’ weight of each packet is ____ kg.
Solution:
\(\frac{1}{4}\)
Question 3.
Four friends ordered 3 glasses of sugarcane juice and shared it equally among themselves. Each one drank ____ glass of sugarcane juice.
Solution:
If 3 glasses of juice is shared among 4 friends, then each one will get \(\frac{3}{4}\) glasses of juice.Four friends ordered 3 glasses of sugarcane juice and shared it equally among themselves. Each one drank ____ glass of sugarcane juice.
Question 4.
The big fish weighs \(\frac{1}{2}\) kg. The small one weighs \(\frac{1}{4}\) kg. Together they weigh ____kg.
Solution:
\(\frac{1}{2}\) kg and \(\frac{1}{4}\) kg together is \(\frac{3}{4}\) kg.
\(\left(\frac{1}{2}+\frac{1}{4}=\frac{2}{4}+\frac{1}{4}=\frac{3}{4}\right)\)
![]()
Question 5.
Arrange these fraction words in order of size from the smallest to the biggest in the empty box below: One and a half, three quarters, one and a quarter, half, quarter, two and a half.
Solution:

Now, arranging the fraction words in order of size from the smallest to the biggest parts Quarter < Half < Three Quarters < One and a quarter < One and a half < Two and a half.
Intext Question
Question 1.
By dividing the whole chikki into 6 equal parts in different ways, we get \(\frac{1}{6}\) chikki pieces of different 6 shapes. Are they of the same size? (Pages 154-155)
Solution:
Yes, they are of the same size.
Question 2.
Find out and discuss the words for fractions that are used in the different languages spoken in your home, city, or state. Ask your grandparents, parents, teachers, and classmates what words they use for different fractions, such as for one and a half, three quarters, one and a quarter, half, quarter, and two and a half, and write them here.
Solution:
- One and a half in hindi ‘dedh’ in tamil its ‘Onrarai’.
- Three quarters in hindi ‘teen chauthaee’, in tamil ‘Mukka’.
- One and a quarter in hindi ‘ek aur ek chauthaee’, in tamil ‘Onrarai kal’.
- Half in hindi ‘aadha’ and in tamil ‘Pati.
- Quarter in hindi ‘ek chauthaee’ and in tamil ‘Kalantu’.
- Two and a half ‘dhaee’ and in tamil’Irantaraf. (Answers may vary)
7.2 Fractional Units as Parts of a Whole Figure it Out (Page No. 155)
Question 1.
The figures below show different fractional units of a whole chikki. How much of a whole chikki is each piece?

Solution:
(a) \(\frac{1}{12}\)
(b) \(\frac{1}{4}\)
(c) \(\frac{1}{8}\)
(d) \(\frac{1}{6}\)
(e) \(\frac{1}{8}\)
(f) \(\frac{1}{6}\)
(g) \(\frac{1}{24}\)
(h) \(\frac{1}{24}\)
7.3 Measuring Using Fractional Units Figure it Out (Page No. 158)
Question 1.
Continue this table of \(\frac{1}{2}\) for 2 more steps.
Solution:


Question 2.
Can you create a similar table for \(\frac{1}{4}\)?
Solution:
Yes, we can create a similar table for \(\frac{1}{4}\). Here

represents a full roti (whole).

Question 3.
Make \(\frac{1}{3}\) using a paper strip. Can you use this to also make \(\frac{1}{6}\)?
Solution:

Yes, we can use this \(\frac{1}{3}\) to make \(\frac{1}{6}\).
When we divide each part of this \(\frac{1}{3}\) it is equal to Half of \(\frac{1}{3}=\frac{1}{3} \times \frac{1}{2}=\frac{1}{6}\)

Question 4.
Draw a picture and write an addition statement as above to show:
(a) 5 times \(\frac{1}{4}\) of a roti
(d) 9 times \(\frac{1}{4}\) of a roti
Solution:

Question 5.
Match each fractional unit with the correct picture:

Solution:

Intext Question
Question 1.
Now, can you find the lengths of the various blue lines shown below? Fill in the boxes as well.
1. Here, the fractional unit is dividing a length of 1 unit into three equal parts. Write the fraction that gives the length of the blue line in the box or in your notebook. (Page 159)

Solution:

2. Here, a unit is divided into 5 equal parts. Write the fraction that gives the length of the blue lines in the respective boxes or in your notebook.

Solution:

3. Now, a unit is divided into 8 equal parts. Write the appropriate fractions in your notebook.
Solution:

7.4 Marking Fraction Lengths on the Number Line Figure it Out (Page No. 160)
Question 1.
On a number line, draw lines of lengths \(\frac{1}{10}, \frac{3}{10}\) and \(\frac{4}{5}\).
Solution:

Question 2.
Write five more fractions of your choice and mark them on the number line.
Solution:
Do it yourself.
Question 3.
How many fractions lie between 0 and 1 ? Think, discuss with your classmates, and write your answer.
Solution:
The number of fractions between 0 and 1 is infinite, because between any two fractions we can always find another fraction. E.g., between \(\frac{1}{3}\) and \(\frac{1}{2}\), we can find \(\frac{5}{12}\); between \(\frac{5}{12}\) and \(\frac{11}{24}\), we can find \(\frac{1}{2}\) and so on.

Question 4.
What is the length of the blue line and black line shown below? The distance between 0 and 1 is 1 unit long, and it is divided into two equal parts. The length of each part is \(\frac{1}{2}\). So the blue line is \(\frac{1}{2}\) units long. Write the fraction that gives the length of the black line in the box.
Solution:
The length of the blue line is \(\frac{1}{2}\) and the length of the black line is three times \(\frac{1}{2}\), i.e., \(\frac{3}{2}\)

Question 5.
Write the fraction that gives the lengths of the black lines in the respective boxes.

Solution:

7.5 Mixed Fractions Figure it Out (Page No. 162)
Question 1.
How many whole units are there in \(\frac{7}{2}\)?
Solution:
Here \(\frac{7}{2}\) = 7 times \(\frac{1}{2}\)

= 1 + 1 + 1 + \(\frac{1}{2}\)
= 3 + \(\frac{1}{2}\)
= 3\(\frac{1}{2}\)
Hence 3 whole units are there in \(\frac{7}{2}\).
Question 2.
How many whole units are there in \(\frac{4}{3}\) and in \(\frac{7}{3}\)?
Solution:
Here \(\frac{4}{3}\) = 4 times \(\frac{1}{3}\) = \(\frac{1}{3}+\frac{1}{3}+\frac{1}{3}+\frac{1}{3}\)
= \(\frac{1+1+1}{3}\) + \(\frac{1}{3}\)
= 1 + \(\frac{1}{3}\) = 1\(\frac{1}{3}\)
Hence 1 whole unit are there in \(\frac{4}{3}\) and \(\frac{7}{3}\) = 7 times \(\frac{1}{3}\)

Hence 2 whole units are therein \(\frac{7}{3}\).
7.5 Mixed Fractions Figure it Out (Page No. 162)
Question 1.
Figure out the number of whole units in each of the following fractions:
(a) \(\frac{8}{3}\)
(b) \(\frac{11}{5}\)
(c) \(\frac{9}{4}\)
We saw that

This number is thus also called ‘two and two-thirds’. We also write it as 2\(\frac{2}{3}\).
Solution:

Question 2.
Can all fractions greater than 1 be written as such mixed numbers?
Solution:
Yes, A mixed number/mixed fraction contains a whole number (called the whole part) and a fraction that is less than 1 (called the fractional part).
Mixed Fraction = whole part + fractional part
Question 3.
Write the following fractions as mixed fractions (e.g., \(\frac{9}{2}=4 \frac{1}{2}\))
(a) \(\frac{9}{2}\)
(b) \(\frac{9}{5}\)
(c) \(\frac{21}{19}\)
(d) \(\frac{47}{9}\)
(e) \(\frac{12}{11}\)
(f) \(\frac{19}{6}\)
Solution:

7.5 Mixed Fractions Figure it Out (Page No. 162)
Question 1.
Figure out the number of whole units in each of the following fractions:
Solution:
We saw that
This number is thus also called ‘two and two thirds’. We also write it as 2\(\frac{2}{3}\).
(a) \(\frac{8}{3}\) = 2 + \(\frac{2}{3}\). The number of whole units is 2.
(b) \(\frac{11}{5}\) = 2 + \(\frac{1}{5}\). The number of whole units is 2.
(c) \(\frac{9}{4}\) = 2 + \(\frac{1}{4}\). The number of whole units is 2.
Question 2.
Can all fractions greater than 1 be written as such mixed numbers?
Solution:
Yes, all fractions greater than 1 can be written as mixed numbers.
Question 3.
Write the following fractions as mixed fractions (e.g. \(\frac{9}{2}\) = 4\(\frac{1}{2}\))
(a) \(\frac{9}{2}\)
Solution:
\(\frac{9}{2}\) = 4 + \(\frac{1}{2}\)
= 4\(\frac{1}{2}\)
(b) \(\frac{9}{5}\)
Solution:
\(\frac{9}{5}\) = 1 + \(\frac{4}{5}\)
= 1\(\frac{4}{5}\)
(c) \(\frac{21}{19}\)
Solution:
\(\frac{21}{19}\) = 1 + \(\frac{2}{19}\)
= 1\(\frac{2}{19}\)
(d) \(\frac{47}{9}\)
Solution:
\(\frac{47}{9}\) = 5 + \(\frac{2}{9}\)
= 5\(\frac{2}{9}\)
(e) \(\frac{12}{11}\)
Solution:
\(\frac{12}{11}\) = 1 + \(\frac{1}{11}\)
= 1\(\frac{1}{11}\)
(f) \(\frac{19}{6}\)
Solution:
\(\frac{19}{6}\) = 3 + \(\frac{1}{6}\)
= 3\(\frac{1}{6}\)
7.5 Mixed Fractions Figure it Out (Page No. 163)
Question 1.
Write the following mixed numbers as fractions:
(a) 3\(\frac{1}{4}\)
Solution:
\(\frac{13}{4}\)
(b) 7\(\frac{2}{3}\)
Solution:
\(\frac{23}{3}\)
(c) 9\(\frac{4}{9}\)
Solution:
\(\frac{85}{9}\)
(d) 3\(\frac{1}{6}\)
Solution:
\(\frac{19}{6}\)
(e) 2\(\frac{3}{11}\)
Solution:
\(\frac{25}{11}\)
(f) 3\(\frac{9}{10}\)
Solution:
\(\frac{39}{10}\)
![]()
Intext Questions
Answer the following questions after looking at the fraction wall:

Question 1.
Are the lengths \(\frac{1}{2}\) and \(\frac{3}{6}\) equal?
Solution:
Yes, \(\frac{1}{2}\) and \(\frac{3}{6}\) are equal as they denote the same length.
Question 2.
Are \(\frac{2}{3}\) and \(\frac{4}{6}\) equivalent fractions? Why?
Solution:
\(\frac{2}{3}\) and \(\frac{4}{6}\) are equivalent fractions as they denote the same length.
Question 3.
How many pieces of length \(\frac{1}{6}\) will make a length of \(\frac{1}{2}\) ?
Solution:
From the fractional wall it is clear that 3 pieces of length \(\frac{1}{6}\) will make a length of \(\frac{1}{2}\).
Question 4.
How many pieces of length \(\frac{1}{6}\) will make a length of \(\frac{1}{3}\)?
Solution:
From the fractional wall it is clear that 2 pieces of \(\frac{1}{6}\) will make a length of \(\frac{1}{3}\).
7.6 Equivalent Fractions Figure it Out 7.7 Simplest form of a Fraction Figure it Out (Page No. 165)
Question 1.
Are \(\frac{3}{6}, \frac{4}{8}, \frac{5}{10}\) equivalent fractions? Why?
Solution:
From the fractional wall up to the fractional unit \(\frac{1}{10}\), it is clear that \(\frac{3}{6}, \frac{4}{8}\) and \(\frac{5}{10}\) denote the same length.
So, \(\frac{3}{6}, \frac{4}{8}, \frac{5}{10}\) all are equivalent fractions.
Question 2.
Write two equivalent fractions for \(\frac{2}{6}\).
Solution:
Here \(\frac{2}{6}\) → \(\frac{2 \times 2}{6 \times 2}, \frac{2 \times 3}{6 \times 3}, \frac{2 \times 4}{6 \times 4}\)
Hence \(\frac{4}{12}, \frac{6}{18}, \frac{8}{24}\) are equivalent fractions of \(\frac{2}{6}\).
Question 3.

(Write as many as you can)
Solution:
\(\frac{4}{6}=\frac{2}{3}=\frac{6}{9}=\frac{8}{12}=\frac{10}{15}=\frac{12}{18}=\frac{14}{21}\)
7.7 Simplest form of a Fraction Figure it Out (Page No. 166)
Question 1.
Three rotis are shared equally by four children. Show the division in the picture and write a fraction for how much each child gets. Also, write the corresponding division facts, addition facts, and, multiplication facts.

Fraction of roti each child gets is ______
Division fact:
Addition fact:
Multiplication fact:
Compare your picture and answers with your classmates!
Solution:
Each child gets is \(\frac{3}{4}\) of a roti.
Division fact: 3 ÷ 4 = \(\frac{3}{4}\)
Addition fact: 3 = \(\frac{3}{4}+\frac{3}{4}+\frac{3}{4}+\frac{3}{4}\)
Multiplication fact: 3 = 4 × \(\frac{3}{4}\)
Question 2.
Draw a picture to show how much each child gets when 2 rotis are shared equally by 4 children. Also, write the corresponding division facts, addition facts, and multiplication facts.
Solution:

Each roti is divided into 4 equal parts. Since, there are 4 children, each child will get 1 part from each of the 2 rotis. Thus, each child gets 2 parts which equals to \(\frac{2}{4}\) or \(\frac{1}{2}\) of a roti.
Division fact: 2 ÷ 4 or 1 ÷ 2
Addition fact: \(\frac{1}{2}+\frac{1}{2}+\frac{1}{2}+\frac{1}{2}\) = 2
Multiplication fact: 4 × \(\frac{2}{4}\) = 2
Question 3.
Anil was in a group where 2 cakes were divided equally among 5 children. How much cake would Anil get?

Solution:
Anil is in a group where 2 cakes were divided equally among 5 children.

Each cake gets divided into 5 parts and Anil gets one part from each cake i.e. \(\frac{1}{5}+\frac{1}{5}=\frac{2}{5}\)
7.7 Simplest form of a Fraction Figure it Out (Page No. 168 – 169)
Question 1.
Find the missing numbers:
(a) 5 glasses of juice shared equally among 4 friends is the same as _____ glasses of juice shared equally among 8 friends.
So, \(\frac{5}{4}\) = _____
Solution:
5 glasses of juice shared equally among 4 friends is the same as 10 glasses of juice shared equally among
8 friends. \(\frac{5}{4}=\frac{10}{8}\).
(b) 4 kg of potatoes divided equally in 3 bags is the same as 12 kg of potatoes divided equally in _____ bags.
So, \(\frac{4}{3}\) = _____
Solution:
4 kg of potatoes divided equally in 3 bags is the same as 12 kg of potatoes divided equally in 9 bags.
So, \(\frac{4}{3}=\frac{12}{9}\)
(c) 7 rotis divided among 5 children is the same as rotis divided among _____ children.
So, \(\frac{7}{5}\) = _____
Solution:
7 rotis divided among 5 children is the same as 14 rotis divided among 10 children.
So, \(\frac{7}{5}=\frac{14}{10}\) (Answer may vary)
InText Question
Question 1.
Suppose the number of children is kept the same, but the number of units that are being shared is increased? What can you say about each child’s share now? Why? Discuss how your reasoning explains \(\frac{1}{5}<\frac{2}{5}, \frac{3}{7}<\frac{4}{7}\) and \(\frac{1}{2}<\frac{5}{8}\). (Page 170)
Solution:
If the number of children is kept the same, but the number of units that are being shared is increased, then greater the unit greater the share.
So, \(\frac{1}{5}<\frac{2}{5}, \frac{3}{7}<\frac{4}{7}\) and \(\frac{1}{2}<\frac{5}{8}\) , i.e., \(\frac{4}{8}<\frac{5}{8}\).
Question 2.
Find equivalent fractions for the given pairs of fractions such that the fractional units are the same. (Page 172)
(a) \(\frac{7}{2}\) and \(\frac{3}{5}\)
Solution:
\(\frac{7}{2}=\frac{14}{4}=\frac{21}{6}=\frac{28}{8}=\frac{35}{10}\)
\(\frac{3}{5}=\frac{6}{10}\)
So, fractions equivalent to \(\frac{7}{2}\) and \(\frac{3}{5}\) with the same fractional unit (same denominators) are \(\frac{35}{10}\) and \(\frac{6}{10}\)
(b) \(\frac{8}{3}\) and \(\frac{5}{6}\)
Solution:
\(\frac{8}{3}=\frac{16}{6}\)
So, fractions equivalent to \(\frac{8}{3}\) and \(\frac{5}{6}\) with the same fractional unit (same denominator) are \(\frac{16}{6}\) and \(\frac{5}{6}\)
(c) \(\frac{3}{4}\) and \(\frac{3}{5}\)
(d) \(\frac{6}{7}\) and \(\frac{8}{5}\)
(e) \(\frac{9}{4}\) and \(\frac{5}{2}\)
(f) \(\frac{1}{10}\) and \(\frac{2}{9}\)
(g) \(\frac{8}{3}\) and \(\frac{11}{4}\)
(h) \(\frac{13}{6}\) and \(\frac{1}{9}\)
Solution:
Do it Yourself
7.7 Simplest form of a Fraction Figure it Out (Page No. 173)
Question 1.
Express the following fractions in the lowest terms:
(a) \(\frac{17}{51}\)
Solution:
Here, the numerator is a prime number, but the denominator is divisible by the numerator 3 times.
So, fraction in lowest terms is \(\frac{1}{3}\)
(b) \(\frac{64}{144}\)
Solution:
Here, the numerator and denominator are both even numbers, so let us first divide it by 2, and we get \(\frac{32}{72}\)
Again dividing both numerator and denominator by 2, we get \(\frac{16}{36}\)
Now dividing both numerator and denominator by 4, we get \(\frac{4}{9}\)
(c) \(\frac{126}{147}\)
Solution:
Here, both numerator and denominator are divisible by 3, so, we get \(\frac{42}{49}\)
Again dividing both numerator and denominator by 7, we get \(\frac{6}{7}\)
(d) \(\frac{525}{112}\)
Solution:
Dividing both numerator and denominator by 7, we get \(\frac{75}{16}\)
So, the fraction in lowest terms is \(\frac{75}{16}\)
![]()
7.8 Comparing Fractions Figure it Out (Page No. 174)
Question 1.
Compare the following fractions and justify your answers:
(a) \(\frac{8}{3}, \frac{5}{2}\)
Solution:

(b) \(\frac{4}{9}, \frac{3}{7}\)
Solution:

(c) \(\frac{7}{10}, \frac{9}{14}\)
Solution:

![]()
(d) \(\frac{12}{5}, \frac{8}{5}\)
Solution:
Clearly, \(\frac{12}{5}>\frac{8}{5}\)
(e) \(\frac{9}{4}, \frac{5}{2}\)
Solution:
\(\frac{9}{4}\)

Question 2.
Write the following fractions in ascending order.
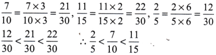
(a) \(\frac{7}{10}, \frac{11}{15}, \frac{2}{5}\)
Solution:

(b) \(\frac{19}{24}, \frac{5}{6}, \frac{7}{12}\)
Solution:

Question 3.
Write the following fractions descending order.
(a) \(\frac{25}{16}, \frac{7}{8}, \frac{13}{4}, \frac{17}{32}\frac{3}{4}, \frac{12}{5}, \frac{7}{12}, \frac{5}{4}\)
Solution:
The given fractions are \(\frac{25}{16}, \frac{7}{8}, \frac{13}{4}, \frac{17}{32}\frac{3}{4}, \frac{12}{5}, \frac{7}{12}, \frac{5}{4}\)
Let us find LCM of denominator 16, 8,4, 32

LCM of 16, 8,4, 32 = 2 × 2 × 2 × 2 × 2 = 32
Now let us make denominator of each fractions as LCM thus
∴ \(\frac{25 \times 2}{16 \times 2}, \frac{7 \times 4}{8 \times 4}, \frac{13 \times 8}{4 \times 8}, \frac{17 \times 1}{32 \times 1}\)
\(\frac{50}{32}, \frac{28}{32}, \frac{104}{32}, \frac{17}{32}\)
On arranging in descending order, we get
\(\frac{104}{32}>\frac{50}{32}>\frac{28}{32}>\frac{17}{32}\)
∴ \(\frac{13}{4}>\frac{25}{16}>\frac{7}{8}>\frac{17}{32}\)
Hence given fractions in descending order are \(\frac{13}{4}, \frac{25}{16}, \frac{7}{8}\) and \(\frac{17}{32}\)
(b) \(\frac{3}{4}, \frac{12}{5}, \frac{7}{12}, \frac{5}{4}\)
Solution:
Given fractions are \(\frac{3}{4}, \frac{12}{5}, \frac{7}{12}, \frac{5}{4}\)
Here LCM of 4, 5, 12, 4 is 60
Now let us make denominator of each fraction as LCM then

Hence fractions in descending order are
\(\frac{12}{5}>\frac{5}{4}>\frac{3}{4}>\frac{7}{12}\)
Intext Questions
Question 1.
Try adding \(\frac{4}{7}+\frac{6}{7}\) using a number line. Do you get the same answer?
Solution:

Yes, we get the same answer.
7.9 Relation to Number Sequences Figure it Out (Page No. 179)
Question 1.
Add the following fractions using Brahma Gupta’s method:
(a) \(\frac{2}{7}+\frac{5}{7}+\frac{6}{7}\)
(b) \(\frac{3}{4}+\frac{1}{3}\)
(c) \(\frac{2}{3}+\frac{5}{6}\)
(d) \(\frac{2}{3}+\frac{2}{7}\)
(e) \(\frac{3}{4}+\frac{1}{3}+\frac{1}{5}\)
(f) \(\frac{2}{3}+\frac{4}{5}\)
(g) \(\frac{4}{5}+\frac{2}{3}\)
(h) \(\frac{3}{5}+\frac{5}{8}\)
(i) \(\frac{9}{2}+\frac{5}{4}\)
(j) \(\frac{8}{3}+\frac{2}{7}\)
(k) \(\frac{3}{4}+\frac{1}{3}+\frac{1}{5}\)
(l) \(\frac{2}{3}+\frac{4}{5}+\frac{3}{7}\)
(m) \(\frac{9}{2}+\frac{5}{4}+\frac{7}{6}\)
Solution:






Question 2.
Rahim mixes \(\frac{2}{3}\) litres of yellow paint with \(\frac{3}{4}\) litres of blue paint to make green paint. What is the volume of green paint he has made?
Solution:
Volume of yellow paint taken by Rahim = \(\frac{2}{3}\)L
Volume of blue paint taken by Rahim = \(\frac{3}{4}\) L
∴ Volume of green paint = \(\left(\frac{2}{3}+\frac{3}{4}\right)\) litres

Question 3.
Geeta bought \(\frac{2}{5}\) meter of lace and Shamim bought \(\frac{3}{4}\) meter of the same lace to put a complete border on a table cloth whose perimeter is 1 meter long. Find the total length of the lace they both have bought. Will the lace be sufficient to cover the whole border?
Solution:
Length of lace houht by Geeia = \(\frac{2}{5}\)metre
Length of lace bought by Shamim = \(\frac{3}{4}\) metre
Total length of lace bought = \(\left(\frac{2}{5}+\frac{3}{4}\right)\) metres

Yes, the lace will be sufficient to cover the whole border as it exceeds the parimeter
= 1 metre
7.9 Relation to Number Sequences Figure it Out (Page No. 181)
Question 1.
\(\frac{5}{8}-\frac{3}{8}\)
Solution:
The denominators are same.
Then, \(\frac{5}{8}-\frac{3}{8}=\frac{2}{8}=\frac{2 \div 2}{8 \div 2}=\frac{1}{4}\)
Question 2.
\(\frac{7}{9}-\frac{5}{9}\)
Solution:
The denominators are same.
then, \(\frac{7}{9}-\frac{5}{9}=\frac{2}{9}\)
Question 3.
\(\frac{10}{27}-\frac{1}{27}\)
Solution:
The denominators are same
Then, \(\frac{10}{27}-\frac{1}{27}=\frac{9}{27}=\frac{9 \div 9}{27 \div 9}=\frac{1}{3}\)
7.9 Relation to Number Sequences Figure it Out (Page No. 182)
Question 1.
Carry out the following subtractions using Brahmagupta’s method:
(a) \(\frac{8}{15}-\frac{3}{15}\)
Solution:
The denominators are same.
Then, \(\frac{8}{15}-\frac{3}{15}=\frac{5}{15}=\frac{1}{3}\)
(b) \(\frac{2}{5}-\frac{4}{15}\)
Solution:
The denominators of the given fractions are 5 and 15. The LCM of 5 and 15 is 15.
Then, \(\frac{2}{5}=\frac{2 \times 3}{5 \times 3}=\frac{6}{15}\)
Therefore, \(\frac{2}{5}-\frac{4}{15}=\frac{6}{15}-\frac{4}{15}=\frac{2}{15}\)
(c) \(\frac{5}{6}-\frac{4}{9}\)
Solution:
The denominators of the given fractions are 6 and 9. The LCM of 6 and 9 is 18.
Then, \(\frac{2}{5}=\frac{2 \times 3}{5 \times 3}=\frac{6}{15}\)
Therefore, \(\frac{2}{5}-\frac{4}{15}=\frac{6}{15}-\frac{4}{15}=\frac{2}{15}\)
(d) \(\frac{2}{3}-\frac{1}{2}\)
Solution:
The denominators of the given fractions are 3 and 2. The LCM of 3 and 2 is 6.
Then, \(\frac{2}{3}=\frac{2 \times 2}{3 \times 2}=\frac{4}{6}, \frac{1}{2}=\frac{1 \times 3}{2 \times 3}=\frac{3}{6}\)
Therefore, \(\frac{2}{3}-\frac{1}{2}=\frac{4}{6}-\frac{3}{6}=\frac{1}{6}\)
Question 2.
Subtract as indicated:
(a) \(\frac{13}{4}\) from \(\frac{10}{3}\)
Solution:
Given y – y
Here, LCM of 3 and 4 is 12.
Fractional unit for both fractions should be \(\frac{1}{12}\)

(b) \(\frac{18}{5}\) from \(\frac{23}{3}\)
Solution:
Here, \(\frac{23}{3}-\frac{18}{5}\)
Now, LCM of 3 and 5 is 15.
Fractional unit = \(\frac{1}{15}\) for both fractions
Hence

(c) \(\frac{29}{7}\) from \(\frac{45}{7}\)
Solution:
Here fractional = \(\frac{1}{7}\)for both fractions.

![]()
Question 3.
Solve the following problems:
(a) Jaya’s school is \(\frac{7}{10}\) km from her home. She takes an auto for \(\frac{1}{2}\) km from her home daily, and then walks the remaining distance to reach her school. How much does she walk daily to reach the school?
(b) Jeevika takes \(\frac{10}{3}\) minutes to take a complete round of the park and her friend Namit takes \(\frac{13}{4}\) minutes to do the same. Who takes less time and by how much?
Solution:
(a) Distance to the school = \(\frac{7}{10}\) km
Distance covered by auto = \(\frac{1}{2}\) km
The remaining distance is covered by walking.
So, distance covered by walking = \(\frac{7}{10}-\frac{1}{2}\)
LCM of 10 and 2 is 10.
\(\frac{1 \times 5}{2 \times 5}=\frac{5}{10}\)
Then, \(\frac{7}{10}-\frac{5}{10}=\cdot \frac{2}{10}=\frac{1}{5}\)
So, distance covered by walking is \(\frac{1}{5}\) km
(b) Time taken by Jeevika to complete one round of park = \(\frac{10}{3}\) min
Time taken by Namit to complete one round of park = \(\frac{13}{4}\) min
LCM of 4 and 3 is 12.
\(\frac{10}{3}=\frac{10}{3} \times \frac{4}{4}=\frac{40}{12}\)
\(\frac{13}{4}=\frac{13}{4} \times \frac{3}{3}=\frac{39}{12}\)
So, \(\frac{40}{12}>\frac{39}{12}\)
Jeevika takes more time than Namit.
Difference = \(\frac{40}{12}-\frac{39}{12}=\frac{1}{12}\) min
So, more time taken by Jeevika is \(\frac{1}{12}\) minutes.
InText Question
Puzzle (Pages 184-185)
It is easy to add up fractional units to obtain the sum 1, if one uses the same fractional unit, e.g.,
\(\frac{1}{2}+\frac{1}{2}\) = 1, \(\frac{1}{3}+\frac{1}{3}+\frac{1}{3}\) = 1, \(\frac{1}{4}+\frac{1}{4}+\frac{1}{4}+\frac{1}{4}\) = 1, etc.
However, can you think of a way to add fractional units that are all different to get 1?
It is not possible to add two different fractional units to get 1. The reason is that ½ is the largest fractional unit, and \(\frac{1}{2}\) + \(\frac{1}{2}\) = 1.
To get different fractional units, we would have to replace at least one of the \(\frac{1}{2}\)’s with some smaller fractional unit – but then the sum would be less than 1! Therefore, it is not possible for two different fractional units to add up to 1.
We can try to look instead for a way to write 1 as the sum of three different fractional units.
Question 1.
Can you fid three different fractional units that add up to 1?
It turns out there is only one solution to this problem (up to changing the order of the 3 fractions)! Can you fid it? Try to fid it before reading further.
Here is a systematic way to fid the solution. We know that \(\frac{1}{3}+\frac{1}{3}+\frac{1}{3}\) = 1. To get the fractional units to be different, we will have to increase at least one of the \(\frac{1}{3}\)’s, and decrease at least one of the other \(\frac{1}{3}\)’s to compensate for that increase. The only way to increase \(\frac{1}{3}\) to another fractional unit is to replace it by \(\frac{1}{2}\). So \(\frac{1}{3}\) must be one of the fractional units.
Now \(\frac{1}{2}\) + \(\frac{1}{4}\) + \(\frac{1}{4}\) = 1. To get the fractional units to be different, we will have to increase one of the \(\frac{1}{4}\)’s and decrease the other \(\frac{1}{4}\) to compensate for that increase. Now the only way to increase \(\frac{1}{4}\) to another fractional unit, that is different from \(\frac{1}{2}\), is to replace it by \(\frac{1}{3}\). So two of the fractions must be \(\frac{1}{2}\) and \(\frac{1}{3}\)! What must be third fraction then, so that the three fractions add up to 1?
This explains why there is only one solution to the above problem.

\(\frac{1}{2}\) + \(\frac{1}{3}\) + \(\frac{1}{6}\) = 1.
What if we look for four different fractional units that add up to 1?
Solution:
Do it Yourself
Question 2.
Can you find four different fractional units that add up to 1? .
It turns out that this problem has six solutions! Can you find at least one of them? Can you find them all? You can try using similar reasoning as in the cases of two and three fractional units – or find your own method!
Once you find one solution, try to divide a circle into parts like in the figure above to visualize it!
Solution:
Do it yourself One solution is as follows: \(\frac{1}{2}+\frac{1}{3}+\frac{1}{8}+\frac{1}{24}\)
The visualisation of the solution when divided into parts is:
