Students can access the CBSE Sample Papers for Class 12 Maths with Solutions and marking scheme Set 6 will help students in understanding the difficulty level of the exam.
CBSE Sample Papers for Class 12 Maths Set 6 with Solutions
Time Allowed : 3 hours
Maximum Marks: 80
General Instructions:
- This question paper contains ve sections – A, B, C, D and E. Each section ¡s compulsor However, there are internal choices in sorne questions. .
- Section – A has 18 MCQ’s and 02 Assertion-Reason basecÇquestions of 1 mark each.
- Section – B has 5 Very Short Answer (VSA)-type questions of 2 marks each.
- Section – C has 6 Short Answer (SA)-type questions of 3 marks each.
- Section – D has 4 Long Answer (LA)-type questions of 5 marks eac .
- Section – E has 3 source based/case based/passage based/integrated units of assessment (4 marks each) with sub parts.
Section – A
(MuItipe Choice Questions) Each question carries 1 mark
Question 1.
if \(\left[\begin{array}{cc}
1 & 2 \\
-2 & -b
\end{array}\right]+\left[\begin{array}{cc}
a & 4 \\
3 & 2
\end{array}\right]=\left[\begin{array}{cc}
5 & 6 \\
1 & 0
\end{array}\right]\) then a2 + b2 is equal to:
(a) 20
(b) 22
(c) 12
(d) 10
Answer:
(a) 20
Explanation:
We have

Question 2.
If M11 = – 40, M12 = – 10 and M13 = 35 of the determinant ∆ = \(\left|\begin{array}{ccc}
1 & 3 & -2 \\
4 & -5 & 6 \\
3 & 5 & 2
\end{array}\right|\) then the value of ∆ is:
(a) -80
(b) 60
(c) 70
(d) 100
Answer:
(a) -80
Explanation: = a11 A11 + a12 A12 + a13 A13
= a11 M11 – a12M12 + a13 M13
= (1) (-40) – 3(-10) + (-2) (35)
= -40 + 30 – 70 = – 80
Question 3.
If y = cos-1 x, then the value of in terms of \(\frac{d^2 y}{d x^2}\) alone is:
(a) – cot y cosec2y
(b) cosec y cot2y
(c) – cot y cosec y
(d) None of these
Answer:
(a) – cot y cosec2y
Explanation:
Given, y = cos-1 x
⇒ x = cos y
On differentiating w.r.t. y, we get
\(\frac{d x}{d y}\) = – sin y
or \(\frac{d x}{d y}\) = – cosec y …………(i)
On again differentiating w.r.t. x, we get
\(\frac{d^2 y}{d x^2}\) = \(\frac{d}{dx}\) (-cosecy) = – ( – cosecy coty) \(\frac{dy}{dx}\)
= cosecy coty(-cosec y) = – cot y cosec2y [from(i)]
Question 4.
If \(\hat{i, \hat{j}, \hat{k}}\) j,k are unit vectors along three mutually perpendicular direction, then:
(a) \(\hat{i} \cdot \hat{j}=1\)
(b) \(\hat{i} \times \hat{j}=1\)
(c) \(\hat{i} \cdot \hat{j}=0\)
(d) \(\hat{i} \times \hat{j}=0\)
Answer:
(c) \(\hat{i} \cdot \hat{j}=0\)
Explanation:
As \(\hat{i} \cdot \hat{k}=|\hat{i}| \cdot|\hat{k}| \cos \frac{\pi}{2}\) = 1 × 1 × 0 = 0
Question 5.
The value of \(\int \frac{1}{1+\cos 8 x} d x\) is:
(a) \(\frac{\tan 2 x}{8}+C\)
(b) \(\frac{\tan 4 x}{4}+C\)
(c) \(\frac{\tan 8 x}{8}+C\)
(d) \(\frac{\tan 4 x}{8}+C\)
Answer:
(d) \(\frac{\tan 4 x}{8}+C\)
Explanation:

Question 6.
In an LPP, if the objective function Z = ax + by has the same maximum value on two corner points of the feasible region, then the number of points at which Zmax occurs is:
(a) O (b) 2 (c) finite (d) infinite
Answer:
(d) infinite
Explanation: Since, the objective functon has the same maximum value on two comer points, therefore every point on the line segment joining these two points also gives the maximum value. Hence, the number of points at which Zmax occurs is infinite.
Question 7.
Find the value of \((\vec{a}-5 \vec{b}) \cdot(2 \vec{a}+\vec{b})\)
(a) \(2|\vec{a}|^2-9 \vec{a} \cdot \vec{b}-5|\vec{b}|^2\)
(c) \(|\vec{a}|^2+5 \vec{a} \cdot \vec{b}-9|\vec{b}|^2\)
(b) \(|\vec{a}|^2+5 \vec{a} \cdot \vec{b}+|\vec{b}|^2\)
(d) \(|\vec{a}|^2+\vec{a} \cdot \vec{b}+|\vec{b}|^2\)
Ans.
(a) \(2|\vec{a}|^2-9 \vec{a} \cdot \vec{b}-5|\vec{b}|^2\)
Explanation:

Question 8.
\(\int_{-4}^4|x+2| d x\)
(a) 50
(b) 20
(c) 24
(d) None of these
Answer:
(b) 20
Explanation:

Question 9.
If Ix -1] \(\left[\begin{array}{cc}
1 & 0 \\
-2 & 0
\end{array}\right]\) = 0 ithenx equals:
(a) 0
(b)-2
(c) -1
(d) 2
Answer:
(b) – 2
Explanation:
Given [x -1] \(\left[\begin{array}{cc}
1 & 0 \\
-2 & 0
\end{array}\right]\)
[x + 2] = 0
x + 2 = 0
x = – 2
Question 10.
The region of feasible solution in LPP graphical method is called:
(a) ¡nfeasible region
(b) Unbounded region
(c) Infinite region
(d) Feasible region
Answer:
(d) Feasible region
Explanation:
The region of feasible solution in the graphical method of LPP is called feasible region.
Question 11.
Let A = \(\left[\begin{array}{cc}
200 & 50 \\
10 & 2
\end{array}\right]\) and B \(\left[\begin{array}{cc}
50 & 40 \\
2 & 3
\end{array}\right]\) then AB is equal to:
(a) 460
(b) 3000
(c) 2000
(d) – 7000
Answer:
(d) – 7000
Explanation:
\(|\mathrm{AB}|=|\mathrm{A}||\mathrm{B}|\)
= (400 – 500)(150 – 80) = – 100 x 70 = – 7000
Question 12.
If ∆ = \(\left|\begin{array}{ccc}
1 & a & b c \\
1 & b & c a \\
1 & c & a b
\end{array}\right|\) then the minor M31 is:
(a) – c(a2 + b2)
(b) c(b2 – a2)
(c) c(a2 + b2)
(d) c(a2 – b2)
Answer:
(d) c(a2 – b2)
Explanation:
M31 = \(\left[\begin{array}{cc}
a & bc \\
b & ca
\end{array}\right]\) = ca2 – b2c = c (a2 – b2)
Question 13.
Number of arbitary constants in particular solution of differential equation of second order is:
(a) 0
(b) 2
(c) 4
(d) 3
Answer:
(a) 0
Explanation:
Number of arbitary constants in particular solution oIP differential equaton is 0.
Question 14.
The function f(x) = \(\begin{cases}1, & \text { if } x \neq 0 \\ 2, & \text { if } x=0\end{cases}\) is not continuous at:
(a) x = 0
(b) x = 1
(c) x = – 1
(d) None of these
Answer:
(a) x = 0
Explanation:
\(\lim _{x \rightarrow 0^{-}} f(x)=1=\lim _{x \rightarrow 0^{+}} f(x)=1 \neq f(0)=2\)
∴ f(x) is not continuous at x = 0
Question 15.
A number is chosen randomly from numbers 1 to 60. The probability that the chosen number is multiple of 2 or 5 is:
(a) \(\frac {2}{5}\)
(b) \(\frac {3}{5}\)
(C) \(\frac {7}{10}\)
(d) \(\frac {9}{10}\)
Answer:
(b) \(\frac {3}{5}\)
Explanation:
Let A = Numbers multiple of 2
n(A) = 30
∴ P(A) = \(\frac {30}{60}\)
and B = Numbers multiple of 5
n(B) = 12
∴ P(B) = \(\frac {12}{60}\)
∴ P(A∪B) = P(A) + P(B) – P(A∩B)
= \(\frac{30}{60}+\frac{12}{60}-\frac{6}{60}=\frac{36}{60}=\frac{3}{5}\)
Question 16.
Find the vector components of a vector having the initial point (6, 4) and the terminal point (—2, 7).
(a) \(2 \hat{i}, \hat{j}\)
(b) \(-8 \hat{i}, 3 \hat{j}\)
(c) \(\hat{i},-7 \hat{j}\)
(d) \(-3 \hat{i}, 8 \hat{j}\)
Answer:
(c) \(\hat{i},-7 \hat{j}\)
Explanation:
Let the initial point o vector A is (6, 4) and the terminal point of vector B is (—2, 7)
∴ Required vector is:
\(\overrightarrow{\mathrm{AB}}=(-2-6) \hat{i}+(7-4) \hat{j}=-8 \hat{i}+3 \hat{j}\)
Hence, the vector components of the vector are – 8\(\hat{i}\) and 3\(hat{j}\)
Question 17.
Equation of x – axis is:
(a) \(\frac{x}{1}=\frac{y}{1}=\frac{z}{1}\)
(b) \(\frac{x}{0}=\frac{y}{1}=\frac{z}{1}\)
(c) \(\frac{x}{1}=\frac{y}{0}=\frac{z}{0}\)
(d) \(\frac{x}{0}=\frac{y}{0}=\frac{z}{1}\)
Answer:
(c) \(\frac{x}{1}=\frac{y}{0}=\frac{z}{0}\)
Explanation:
On x-axis, coordinates of y and z are zero.
∴ Equation of x-axis becomes
\(\frac{x-0}{1-0}=\frac{y-0}{0-0}=\frac{z-0}{0-0}\)
⇒ \(\frac{x}{1}=\frac{y}{0}=\frac{z}{0}\)
Question 18.
The degree of the differential equation \(\left(1+\frac{d y}{d x}\right)^3=\left(\frac{d^2 y}{d x^2}\right)^2\) is:
(a) 1
(b) 2
(c) 3
(d) 4
Answer:
(b) 2
Explanation:
We have, \(\left(1+\frac{d y}{d x}\right)^3=\left(\frac{d^2 y}{d x^2}\right)^2\)
so order = 2, degree = 2
Question 19.
Assertion (A) : f(x) = sin x + cas ax is a periodic function.
Reason (R) : a is rational number.
Answer:
(a) Both A and R are true and R is the correct explanation of A.
Explanation:
Period of sin x is \(\frac {2π}{1}\) and period of cos ax = \(\frac {2π}{a}\)
⇒ Hence, period of f(x) \(\left\{\frac{2 \pi}{1}, \frac{2 \pi}{a}\right\}=\frac{\text { LCM of }(2 \pi, 2 \pi)}{\text { HCF of }(1, a)}=\frac{2 \pi}{k}\)
where, k is the HCE of 1 and a.
⇒ \(\frac{1}{k}\) = integer = q (say) (≠ 0)
and \(\frac{a}{k}\) = integer = p (say)
∴ \(\frac{a / k}{1 / k}=\frac{p}{q}\)
⇒ a = \(\frac{p}{q}\)
a is rational
Question 20.
Assertion (A) : In a ∆ABC, \(\overrightarrow{\mathrm{AB}}+\overrightarrow{\mathrm{BC}}+\overrightarrow{\mathrm{CA}}\) = 0
Reason (R) : If \(\overrightarrow{\mathrm{AB}}=\vec{a}\) , \(\overrightarrow{\mathrm{BC}}=\vec{b}\) , then A\(\overrightarrow{\mathrm{AC}}=\vec{a+b}\)
Answer:
(a) Both A and R are true and R is the correct explanation of A.
Explanation: \(\overrightarrow{\mathrm{AB}}+\overrightarrow{\mathrm{BC}}+\overrightarrow{\mathrm{CA}}=\overrightarrow{\mathrm{AC}}+\overrightarrow{\mathrm{CA}}=\overrightarrow{\mathrm{AC}}-\overrightarrow{\mathrm{AC}}\) = 0
Section – B
[This section comprises of very short answer type-questions (VSA) of 2 marks each]
Question 21.
Let A = (1, 2, 3), B = f4, 5, 6, 7) and letf= ((1, 4) (2, 5) (3, 6)) be a function from A to B. State whetherf is one-one or onto.
OR
What is the range of the function f(x) = \(\frac{|x-1|}{(x-1)}\) where x ≠ 1?
Solution:
Here, ∴ f: A → B is defined as {(1, 4) (2, 5) (3, 6)).
Since, the image of distinct elements of A underf are distinct as:
f (1) = 4, f(2) = 5 and f (3) = 6
From above it is evident that x1 ≠ x2 and f(x1) ≠ (x2)
∴ f : A → Bis one one.
OR
Here, f(x) = \(\frac{|x-1|}{(x-1)}\) x ≠ 1
⇒ f(x) = \(\frac{(x-1)}{(x-1)}\) then x > 1
and f(x) = \(\frac{- (x-1)}{(x-1)}\) then x < 1
i.e., The range of f(x) is {1, – 1}.
Question 22.
Find the maximum and minimum values of f(x) = -|x – 1| + 5 for all x∈R.
Solution:
We have f(x) = -|x – 1| + 5 for x∈R.
Clearly, |x – 1| ≥ 0 for all x∈R.
Taking minus sign both sides, we get
– |x – 1| ≤ 0 for all x ∈R
-|x – 1| + 5 for all x ∈R
⇒ f(x) ≤ 5 for all x ∈R

So, 5 is the maximum value of f(x)
Now, f(x) = 5
-|x – 1| + 5 = 5
|x – 1|= 0 ⇒ x = 1
Thus,f(x) attains the maximum value 5 at x = 1.
Since, f(x) can be made as small as possible.Therefore, the minimum value of f(1) does not exist.
Question 23.
If 0 is the origin, OP = 3 with direction ratios -1, 2, -2, then what are the coordinates of P?
OR
if α,β,γ are the angles which a directed line makes with the positive directions of the coordinates axes, then what is the value of sin2 α + sin2 β + sin2γ.
Solution:
Direction ratios of \(\vec{OP}\) are -1, 2, -2.
D.C’s of \(\vec{OP}\) are.
\(\frac{-1}{\sqrt{(-1)^2+2^2+(-2)^2}}\) , \(\frac{2}{\sqrt{(-1)^2+2^2+(-2)^2}}\) , \(\frac{-2}{\sqrt{(-1)^2+2^2+(-2)^2}}\) ,
i.e., \(\frac{-1}{3}, \frac{2}{3}, \frac{-2}{3}\)
Hence, or \(\vec{OP}\) = \(\overrightarrow{\mathrm{OP}} \mid(l \hat{i}+m \hat{j}+n \hat{k})\)
= 3\(\left(-\frac{1}{3} \hat{i}+\frac{2}{3} \hat{j}-\frac{2}{3} \hat{k}\right)=-1 \hat{i}+2 \hat{j}-2 \hat{k}\)
Therefore, coordinates of P are (-1, 2, -2)
OR
Let l, m, n be the direction cosines of the line then
l = cos α, m = cos β, n = cos γ
Since, l2 + m2 + n2 = 1
cos2α + cos2β + cos2γ = 1
1 – sin2α + 1 – sin2β + 1 – sin2γ = 1
3 – (sin2α + sin2β + sin2γ) = 1
sin2α + sin2β + sin2γ = 3 – 1
sin2a + sin2β + sin2γ = 2
Question 24.
Find the general solution of the differential equation = \(\frac{-1}{3}, \frac{2}{3}, \frac{-2}{3}\)
Solution:
Given, differential equation is:

On integrating both sides, we get

Question 25.
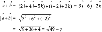
If \(\vec{a}=2 \hat{i}+4 \hat{j}-5 \hat{k}/latex] and [latex]\vec{b}=\hat{i}+2 \hat{j}+3 \hat{k}\) find the unit vector in the direction of \(\vec{a}+\vec{b}\)
Solution:
We have,

Hence, the unit vector in the direction of \(\vec{a}+\vec{b}\)

Section – C
[This section comprises of short answer type questions (SA) of 3 marks each]
Question 26.
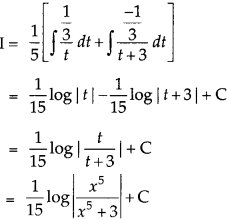
Evaluate: \(\int \frac{d x}{x\left(x^5+3\right)}\)
Solution:
Let I = \(\int \frac{d x}{x\left(x^5+3\right)}\)
Multiply Numerator and Denominator by x4, we get
I = \(\int \frac{x^4 d x}{x^5\left(x^5+3\right)}\)
Put x2 = t
On differentiating both sides w.r.t. x
5 x4 = \(\frac {dt}{dx}\)
x4 dx = \(\frac {dt}{5}\)
∴ I = \(\frac{1}{5} \int \frac{d t}{t(t+3)}\)
\(\frac{1}{(t+3)}=\frac{\mathrm{A}}{t}+\frac{\mathrm{B}}{(t+3)}\)
⇒ 1 = A(t + 3) Bt
if t = 0, 1 = 3A
⇒ A = \(\frac {1}{3}\)
If t = -3 1 = – 3B
⇒ B = \(\frac {-1}{3}\)

Question 27.
Solve the following LPP graphically, Maximise z = 4x + y
Subject to following constraints
x + y ≤ 50
3x + y ≤ 90
x ≥ 10
x, y ≥ 0
Solution:


x = 10 is a line which is parallel to y-axis.


∴ Maximum value is 120 at (30, 0).
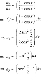
Question 28.
Evaluate: \(\int_{-1}^2\left|x^3-x\right| d x\)
OR
Find: \(\int_0^{\pi / 4} \frac{d x}{\cos ^3 x \sqrt{2 \sin 2 x}}\)
Solution:
Clearly, f(x) = x3 – x = x (x – 1) (x + 1). The sign of f(x) for different values of x are given in figure.
![]()
We observe that,
f(x) > 0 for all x ∈ (-1, 0) ∪ (1, 2)
f(x) < 0 for all x ∈ (0, 1)


Put tan x = t
sec2x dx = dt
When x = 0, t = tan 0 = 0
When x = \(\frac {π}{4}\), t = \(\frac {π}{4}\) = 1

Question 29.
Solve the differential equation is:
x log x \(\frac {dy}{dx}\) + y = 2 log x
OR
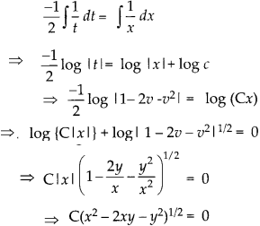
Solve the differential equation:
y + x \(\frac {dy}{dx}\) = x – y \(\frac {dy}{dx}\)
Solution:
Gi’en, differential equation is:
x log x \(\frac {dy}{dx}\) + y = 2 log x
\(\frac{d y}{d x}+\frac{y}{x \log x}=\frac{2}{x}\)
Here, P = \(\frac{1}{x log x}\), Q = \(\frac{2}{x}\)
I.F = \(e^{\int P d x}=e^{\int \frac{1}{x \log x} d x}\)
= \(e^{\int\left(\frac{\frac{1}{x}}{\log x}\right)} d x\)
= \(e^{\log (\log x)}\) = log x
Solution of given equation will be given by:

Which is a homogeneous equation
put y = υx ⇒ \(\frac {dy}{dx}\) υ + x \(\frac {dυ}{dx}\) in (i), we get
υ + x \(\frac {dυ}{dx}\) – \(\frac{x-v x}{x+v x}\)
⇒ x \(\frac {dυ}{dx}\) = \(\frac {1-υ}{1+υ}\) – υ
= \(\frac{1-υ-υ-υ^2}{1+υ}\)
⇒ x \(\frac {dυ}{dx}\) = \(\frac{1-2υ-υ^2}{1+υ}\)
⇒ \(\frac{1+υ}{1-2υ-υ^2}\) dυ = \(\frac {dx}{x}\), x ≠ 0 ………….(ii)
Putting t = 1 – 2υ – υ2
df (- 2 – 2υ) dυ
\(\frac {-1}{2}\)dt = (1 + υ)dυ
Now equation (i) becomes
\(\frac {-1}{2}\)dt = \(\frac {dx}{x}\)
On integrating above equation, we get

Question 30.
If a machine is set correctly, it produces 10% of defective items. ¡fit is set incorrectily it produces 10% good items. Chances for sefting to be correct and incorrect are in the ratio 7 : 3. After a setting is made, the first item produced is found to be good item. What is the chance that the machine was set correctly ?
OR
A City’s data shows 5 men out of 100 and 25 women Out of 1000 are colourblind. If a colourblind person is chosen at random, then find the probability of this person being a maLe (assuming males and females are in equal proportion in the city).
Solution:
Let E1 and E2 be the events that the set-up is correct and incorrect respectively. Let E be the event that the items produces are good one.
Given that,
![]()
∴ P(E1) = \(\frac {7}{10}\)
and P(E2)) = \(\frac {3}{10}\)
10% defective items means 90% good items
\(P\left(\frac{E}{E_1}\right)=\frac{90}{100}=\frac{9}{10}\)
and \(P\left(\frac{E}{E_2}\right)=\frac{10}{100}=\frac{1}{10}\)
∴ By Bayes theorem

OR
Let M = Event that a person chosen at random is a male.
F = Event that a person chosen at random is a female.
C = Event that a person chosen at random is colourblind.
∴ Required probability = P\(\frac {M}{C}\) given that P(M) = P(F) = \(\frac {1}{2}\)(equal proportion)
Now \(P\left(\frac{C}{M}\right)=\frac{5}{100}, P\left(\frac{C}{F}\right)=\frac{25}{1000}\)
By Baye’s theorem

Question 31.
Evaluate
\(\int_0^\pi \frac{x}{1+\sin x} d x\)
Solution:
Let


Section – D
[This section comprises of long answer type questions (LA) of 5 marks each]
Question 32.
The area between x = y2 and x = 4 is divided into two equal parts by the line x a, find the value of a.
Solution:
Given, x = y2 is a parabola symmetric to positive x-axis with vertex (0, 0).

We have given that,

Question 33.
Show that the relation R defined on the set A of all polygons as:
R = f(P1, P2) : P1 and P2 have same member of sides is an equivalence relation. What is the set of all elements in A related to the right angle triangles with sides 3, 4 and 5?
OR
Prove that: cos-1 \(\frac {4}{5}\) + cos-1 \(\frac {12}{13}\) = cos-1\(\frac {33}{65}\)
Solution:
Give, R = (P1, P2): P1 and P2 have same number of sides)
Reflexivity : Let P be any polygon in A
Then P and P have same number of sides
⇒ (P.P) ∈ R
⇒ Then (P,P)∈R∀P∈A
So, R is reflexive.
Symmetric : Let P1 and P2 be two polygons A in such that (P1, P2) ER
Now, P1 and P2 have same number of sides
⇒ P1 and P2 have same number of sides
⇒ (P2,P1)∈R
So, R is symmetric on A
Transitivity: Let P1, P2 and P3 be three polygons in A such that (P1, P2) ∈ R and (P2, P3) ∈R.
Then, (P1, P2,) ∈R
P1 and P2 have same number of sides
(P2, P3) E R
P2 and P3 have same number of sides
∴P1 and P3 have same number of sides
(P1,P3)∈R
Thus, if (P1, P2) ∈ R and (p2, P3) ∈ R
(P1, P3) ∈ R
So, R is transitive.
Hence, R is an equivalence relation on A.
Let P be a polygon in A such that (P, T)∈R. Then, polygon P and triangle T have same number of sides. Thus, P is any triangle in A with sides 3, 4 and 5.
OR
Let x = cos-1 \(\frac {4}{5}\) and y = cos-1 \(\frac {12}{13}\)
⇒ cos x = \(\frac {4}{5}\) and cos y = \(\frac {12}{13}\)
sin x = \(\sqrt{1-\cos ^2 x}\) = \(\sqrt{1-\frac{16}{25}}=\frac{3}{5}\)
and sin y = \(\sqrt{1-\cos ^2 y}\) = \(\sqrt{1-\frac{144}{169}}\) = \(\frac {5}{13}\)
Now, using the identity
cos(x + y) = cos x cos y – sin x sin y
We get, cos (x + y) = \(\left(\frac{4}{5} \times \frac{12}{13}\right)-\left(\frac{3}{5} \times \frac{5}{13}\right)\)
cos(x + y) = \(\frac{48}{65}-\frac{15}{65}\)
⇒ cos(x + y) = \(\frac{33}{65}\)
or x + y = cos-1\(\frac{33}{65}\)
∴ cos-1\(\frac{4}{5}\) + cos-1\(\frac{12}{13}\) = cos-1\(\frac{33}{65}\) [∴ x = cos-1\(\frac{4}{5}\) and y = cos-1\(\frac{12}{13}\)
Question 34.
if A = \(\frac{4}{5}\) then show that A2– 5A – 14I = 0. Hence, find A-1
Solution:
Given,

On premultiplying by A-’, we get
A-1(A2) – 5A-1 – 14A-1 I = 0
⇒ A – 5I – 14A-1 = 0
⇒ A-1 = \(\frac{4}{5}\) (A – 5I)

Question 35.
Find the direction cosines of the two lines which are connected by the relation:
l – 5m + 3n = 0 and 7l2 + 5m2 – 3n2 = 0
OR
Find the vector and Cartesian equations of a line passing through (1, 2, -4) and perpendicular to the two lines:
\(\frac{x-8}{3}=\frac{y+19}{-16}=\frac{z-10}{7}\) and \(\frac{x-15}{3}=\frac{y-29}{8}=\frac{z-5}{-5}\)
Solution:
Given lines are,
l – 5m + 3n = 0 ………..(i)
7l2 + 5m2 – 3n2 = 0 ……….(ii)
Putting l = (5m – 3n) from (i) into (ii), we get
7 (5m – 3n)2 + 5m2 – 3n2 = 0
= 175 m2 + 63n2 – 210mn + 5m2 – 3n2 = 0
180 m2 + 60n2 – 210 mn = 0
6m2 – 7mn + 2n2 = 0
6 \(\left(\frac{m}{n}\right)^2-7\left(\frac{m}{n}\right)\) + 2 = 0
Let, P = \(\frac {m}{n}\)
⇒ 6P2 – 7p + 2 = 0
or (3P – 2)(2P – 1) = 0
P = \(\frac {m}{n}\)
So, \(\frac{m}{n}=\frac{2}{3}\) = \(\frac{m}{n}=\frac{1}{2}\) (since, P = \(\frac {m}{n}\))
Now, \(\frac{m}{n}=\frac{2}{3}\) ⇒ \(\frac{m}{2}=\frac{n}{3}\)
⇒ \(\frac{5 m-3 n}{5 \times 2-3 \times 3}=\frac{l}{1}\) [∴ 5m – 3x = l]

So, l = \(\frac{-1}{\sqrt{6}}\) m = \(\frac{1}{\sqrt{6}}\) n = \(\frac{2}{\sqrt{6}}\)
Hence, d.c.’s of the lines are \(\left(\frac{1}{\sqrt{14}}, \frac{2}{\sqrt{14}}, \frac{3}{\sqrt{14}}\right)\) and \(\left(\frac{-1}{\sqrt{6}}, \frac{1}{\sqrt{6}}, \frac{2}{\sqrt{6}}\right)\)
OR
Cartesian equation of the line passing through (1, 2, -4) is:
\(\frac{x-1}{a}=\frac{y-2}{b}=\frac{z+4}{c}\) …………(i)
Given lines are
\(\frac{x-8}{3}=\frac{y+19}{-16}=\frac{z-10}{7}\) …………. (ii)
and \(\frac{x-15}{3}=\frac{y-29}{8}=\frac{z-5}{-5}\) …………. (iii)
Let \(\overrightarrow{b_1}\), \(\overrightarrow{b_2}\), \(\overrightarrow{b_3}\) are parallel vectors of (i),(ii),(iii) respectively,
\(\overrightarrow{b_1}\) = \(a \hat{i}+b \hat{j}+c \hat{k}\)
\(\overrightarrow{b_2}\) = \(3 \hat{i}-16 \hat{j}+7 \hat{k}\)
\(\overrightarrow{b_3}\) = \(3 \hat{i}+8 \hat{j}-5 \hat{k}\)
Given that (i) is perpendicular to both (ii) and (iii)
\(\overrightarrow{b_1} \cdot \overrightarrow{b_2}\) = 0
⇒ 3a – 16b + 7c = 0 ……..(iv)
and \(\overrightarrow{b_1} \cdot \overrightarrow{b_3}\) = 0
⇒ 3a + 8b – 5c = 0 ……..(v)
From (iv) and (v)
\(\frac{a}{80-56}=\frac{b}{21+15}=\frac{c}{24+48}\)
\(\frac{a}{24}=\frac{b}{36}=\frac{c}{72}\)
⇒ \(\frac{a}{2}=\frac{b}{3}=\frac{c}{6}=\lambda\)
⇒ a = 2λ, b = 3λ, c = 6λ
Putting in equation (i)
\(\frac{x-1}{2 \lambda}=\frac{y-2}{3 \lambda}=\frac{z+4}{6 \lambda}\)
\(\frac{x-1}{2}=\frac{y-2}{3}=\frac{z+4}{6}\)
Which is the required cartesian equation of line and vector equation of this tine is:
\(\vec{r}=(\hat{i}+2 \hat{j}-4 \hat{k})+\lambda(2 \hat{i}+3 \hat{j}+6 \hat{k})\)
Section – E
[This section comprises of 3 case-study/passage-based questions of 4 marks each with two sub-parts. The First two case study questions have three sub-parts (i), (ii), (iii) of marks 1, 1, 2 respectively. The third case study question has two sub-parts of 2 marks each.]
Question 36.
We know that a given functionflx) is even if f(-x) = f(x) and it is odd, if f(-x) = – f(x).
Also,


(i) f(x) = x3 sin40 x is a/an …………… function (odd/even).
(ii) \(\int_{-\pi / 4}^{\pi / 4} \sec ^2 x\) x dx is a/an ……….. function (odd/even).
(iii) Find value of \(\int_{-\pi / 2}^{\pi / 2}\left(x^3+x \cos x+\tan ^5 x+1\right)\)dx
OR
Find the value of \(\int_{-5}^5|x+2|\) dx
Solution:
(i) Let f (x) = x3 sin40 x
f(x) = (- x)3 sin3 (- x)
= – x3 (- sin x)40
= – x sin40 x
= – f(x)
⇒ f(x) is an odd function.
(ii) Let I = \(\int_{-\pi / 4}^{\pi / 4} \sec ^2 x|\) dx
Consider f(x) = sec2x
f(-x) = sec2(-x)
= sec2 x = f(x)
⇒ f(x) is an even function.
(iii) Let f(x) = x3 + x cos x + tan5x
Then, f(-x) = (-x)3 + (-x) cos (-x) + tan5 (-x)
= -x3 – x cos x – tan5x = -f(x)
⇒ f(x) is an odd function.
Now \(\int_{-\pi / 2}^{\pi / 2}\left(x^3+x \cos x+\tan ^5 x+1\right) d x\) dx = \(\int_{-\pi / 2}^{\pi / 2}\left(x^3+x \cos x+\tan ^5 x\right) d x+\int_{-\pi / 2}^{\pi / 2} 1 \cdot d x\)
= 0 + \([x]_{-\pi / 2}^{\pi / 2}=\left(\frac{\pi}{2}+\frac{\pi}{2}\right)=\pi\)
OR
We Know That,
![]()

Question 37.
The fuel cost per hour for running a train is proportional to the square of the speed it generates in km per hour. If the fuel costs ₹ 48 per hour at speed 16 km per hour and the fixed charges to run the train amount to ₹ 1200 per hour. Assume the speed of train as υ km/hr.

(i) Given that the fuel cost per hour is k times the square of the speed the train generates in km/hour, then
what is the value of 16 k ?
Solution:
Let C be the cost of the fuel consumed by running the train for time t.
Then, \(\frac {C}{t}\) = k υ2
Also 48 = k(16)2
3 = 16k
(ii) If the train has travelled a distance of 1000 km, then write the function which gives the total cost of running the train?
Solution:
Let C’ be the total cost of running the train.
A.T.Q., \(\frac {C’}{t}\) = k υ2 + 1200
∴ \(\frac {C’}{t}\) = \(\frac {3}{6}\) υ2t + 1200t [from (i)]
∵ Train travelled a distance of 1000 km.
∴ υ = \(\frac {1000}{t}\)
or t = \(\frac {1000}{υ}\)
∴ C’ = \(\frac{3}{16} v^2\left(\frac{1000}{υ}\right)+1200\left(\frac{1000}{v}\right)\) = \(\frac{375}{2} v+\frac{1200000}{v}\)
(iii) What is the most economical speed of the train?
From (iii)
C’ = \(\frac{375}{2} v+\frac{1200000}{υ}\)
\(\frac{d \mathrm{C}^{\prime}}{dυ}=\frac{375}{2}+1200000\left(\frac{-1}{υ^2}\right)\)
To find economical speed
\(\frac{d \mathrm{C}^{\prime}}{dυ}\) = 0
Put \(\frac{375}{2}-\frac{1200000}{υ^2}\) = 0
⇒ υ2 = \(\frac{2}{375}\) × 12000000
= 2 × 3200 = 6400
υ = 80 km/hr
So, The most economical speed is 80 km/hr.
OR
For real values of x, what is the minimum value of \(\frac{1-x+x^2}{1+x+x^2}\)
Solution:
Let y = \(\frac{1-x+x^2}{1+x+x^2}\), x ∈ R
Then, x2(y – 1) + x(y + 1) + y – 1 = 0 …………(i)
Since, x is real, discriminant of equation (i) should be greater than or equal to zero.
(y + 1)2 – 4(y – 1)(y – 1) ≥ 0
i.e., – 3y2 + 10y – 3 ≥ 0
⇒ – 3(y – 3)(y – \(\frac{1}{3}\)) ≥ 0
⇒ (y – 3) (y – \(\frac{1}{3}\)) ≤ 0
\(\frac{1}{3}\) ≤ y ≤ 3
Hence, minimum-value of y is \(\frac{1}{3}\)
Question 38.
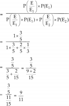
In answering a question on a multiple choice test. for class XI, a student either knows the answer or guesses. Let \(\frac{3}{5}\) be the probabflity that he knows the answer and \(\frac{2}{5}\) be the probability that he guesses. Assume that a student who guesses the answer will be correct with probability \(\frac{1}{3}\)Let E1, E2, E be the events that the students knows the answer, guesses the answers and answers correctly respectively.

(i) Find \(\sum_{k=1}^{k=2} \mathrm{P}\left(\frac{\mathrm{E}}{\mathrm{E}_k}\right) \mathrm{P}\left(\mathrm{E}_k\right)\)
(ii) What is the probability that the student knows the answer given that he answered it correctly?
Solution:

(ii) Required probability = P\(\left(\frac{E_1}{E}\right)\)
