Students can access the CBSE Sample Papers for Class 12 Applied Maths with Solutions and marking scheme Set 5 will help students in understanding the difficulty level of the exam.
CBSE Sample Papers for Class 12 Applied Maths Set 5 with Solutions
Time Allowed : 3 hours
Maximum Marks : 80
General Instructions:
- This Question paper contains – five sections A,B,C,D and E. Each section is compulsory. However, there is some internal ‘ choice in some questions.
- Section A has 18 MCQ’s and 02 Assertion Reason based questions of 1 mark each.
- Section B has 5 Very Short Answer (VSA) questions of 2 marks each.
- Section C has 6 Short Answer (SA) questions of 3 marks each.
- Section D has 4 Long Answer (LA) questions of 5 marks each.
- Section E has 3 source based/case based/passage based/integrated units of assessment (04 marks each) with sub parts.
- Internal Choice is provided in 2 questions in Section-B, 2 questions in Section-C, 2 Questions in Section-D. You have to attempt only one alternatives in all such questions.
Section – A
(All Questions are compulsory. No internal choice is provided in this section)
Question 1.
If a ≡ b (mod n) and b ≡ c (mod n), then
(A) a ≡ a (mod n)
(B) b ≡ c (mod a)
(C) a ≡ c (mod n)
(D) None of these
Answer:
(C) a ≡ c (mod n)
Explanation:
If a ≡ b (mod n) and b ≡ c (mod n), then n | (b – a) and n | (c – b).
Using the linear combination,
we get n|(b – a + c – b) or n|(c – a)
Thus, a ≡c (mod n)
Question 2.
A person can row a boat along the stream of the river at 10 km/h and against the stream in 6 km/h. What is the speed of the stream flow?
(A) 1 km/h
(B) 2 km/h
(C) 4 km/h
(D) 5 km/h
Answer:
(B) 2 km/h
Explanation:
Speed of boat downstream = u = 10 km/h
And, speed of boat upstream = y = 6 km/h
⇒ Speed of stream = \(\frac{1}{2}\) (u – v) = 2 km/h
Question 3.
The sample size for the given standard deviation 10 and the standard error with respect of sample mean is 3 is
(A) 10
(B) 11
(C) 15
(D) None of these
Answer:
(B) 11
Explanation:
Given s = 10, S.E. X = 3
Since, S.E. = \(\frac{\sigma}{\sqrt{n}}\)
Therefore, 3 = \(\frac{10}{\sqrt{n}}\)
⇒ √n = \(\frac{10}{3}\)
Taking square on both sides we get
n = \(\left(\frac{10}{3}\right)^2\)
= \(\frac{100}{9}\)
= 11.11 ≈ 11.
The required sample size is 11.
Question 4.
____________ is an educated guess which needs to be tested.
(A) Sample mean
(B) Estimation
(C) Hypothesis
(D) none of these
Answer:
(C) Hypothesis
Question 5.
In what ratio shall I add water to the liquid detergent costing ₹ 480 per litre to get resulting mixture worth ₹ 300 per litre?
(A) 5 : 3
(B) 1 : 3
(C) 3 : 5
(D) 1 : 5
Answer:
(C) 3 : 5
Explanation:

⇒ 180 : 300 = 3 : 5
Question 6.
A sales promotion company sells tickets for ₹ 100 each to win a prize of ₹ 5 lakhs. If a person buys one of the ₹ 10,000 tickets sold, then his expected gain in rupees is
(A) – 50
(B) 0
(C) 50
(D) 100
Answer:
(A) – 50
Explanation:
| Prize (xi) | pi | xipi |
| 500000 | \(\frac{1}{10000}\) | 50 |
| 0 | \(\frac{9999}{10000}\) | 0 |
So, Σ xipi = 50
Net expected gain = 50 – 100
= – 50
∴ No gain
∴ Loss is ₹ 50.
Question 7.
Assume the current time is 2:00 p.m. What time (in a.m. or p.m.) will after 65 hours?
(A) 7 a.m.
(B) 7 p.m.
(C) 3 a.m.
(D) 3 p.m.
Answer:
(A) 7 a.m.
Explanation:
We know that time repeats after every 24 hours.
So, we find 65 (mod 24)
∵ 65 = 24 × 2 + 17
So, 65 ≡ 17 (mod 24)
∴ 65 hours is equivalent to 17 hours.
Now, 2:00 p.m. + 17 hours = 7:00 a.m.
Question 8.
A newspaper printing machine costs ₹ 4,80,000 and estimated scrap value of ₹ 25,000 at the end of its useful life of 10 years. What is its annual depreciation as per linear method?
(A) ₹ 4,550
(B) ₹ 45,500
(C) ₹ 50,500
(D) ₹ 61,500
Answer:
(B) ₹ 45,500
Explanation:
D = \(\frac{C-S}{n}\)
= \(\frac{480000-25000}{10}\)
= ₹ 45500
Question 9.
The relation between ‘Marginal cost’ and ‘Average cost’ of producing ‘x’ units of a product is
(A) \(\frac{d(A C)}{d x}\) = x (MC – AC)
(B) \(\frac{d(A C)}{d x}\) = x (AC – MC)
(C) \(\frac{d(A C)}{d x}\) = \(\frac{1}{x}\) (AC – MC)
(D) \(\frac{d(A C)}{d x}\) = \(\frac{1}{x}\) (MC – AC)
Answer:
(D) \(\frac{d(A C)}{d x}\) = \(\frac{1}{x}\) (MC – AC)
Question 10.
Multiplicative model for time series is Y = __________
(A) T × S × C × I
(B) T + S + C + I
(C) T – S – C – I
(D) None of these
Answer:
(A) T × S × C × I
Explanation:
In Multiplicative model four components have a multiplication relationship
i.e., Y = T × C × S × I
Question 11.
Mrs. Singh takes loan of ₹ 1,00,000 with 10% annual interest rate for 5 years. The EM! under the flat rate system is
(A) ₹ 5,000
(B) ₹ 2,500
(C) ₹ 50,000
(D) ₹ 25,000
Answer:
(B) ₹ 2,500
Explanation:
Given, P = ₹ 1,00,000
I = \(\frac{10}{100}\) × 1,00,00 × 5
= ₹ 50,00
n = 5 years
= 5 × 12 = 60
∴ EMI = \(\frac{P+I}{n}\)
= \(\frac{1,00,000+50,000}{60}\)
= \(\frac{15,000}{6}\)
= ₹ 2,500
Question 12.
The present value of a perpetual income of ₹ x at the end of each six months is ₹ 50,000. The value of x if money is worth 5% compounded semi-annually is
(A) ₹ 1,000
(B) ₹ 1,200
(C) ₹ 1,250
(D) ₹ 1,350
Answer:
(C) ₹ 1,250
Explanation:
We have P = 50,000
i = \(\frac{0.05}{2}\) = 0.025
We know that,
P = \(\frac{R}{i}\)
50,000 = \(\frac{x}{0.025}\)
Or, x = 50,000 × 0.025
= ₹ 1,250
Question 13.
How much money ¡s needed to endure a series of lectures costing ₹ 1500 at the beginning of each year indefinitely, if money is worth 2% compounded annually?
(A) ₹ 76,200
(B) ₹ 76,500
(C) ₹ 67,500
(D) ₹ 67,700
Answer:
(B) ₹ 76,500
Explanation:
We have, R = 1,500, i = 0.02
Money needed to endure a series of lectures costing ₹ 1500 at the beginning of each year means the present value of a perpetuity of ₹ 1,500 payable at the beginning of each year
P = R + \(\frac{R}{i}\)
= 1500 + \(\frac{1500}{0.02}\)
= ₹ 76,500
Question 14.
The order and degree (if defined) of differential equation \(\left(1+\frac{d y}{d x}\right)^3=\left(\frac{d^2 y}{d x^2}\right)^2\) are
(A) 3, 2
(B) 2, 2
(C) 3, 3
(D) Not defined
Answer:
Explanation:
The highest order derivative present is \(\frac{d^2 y}{d x^2}\) and it is raised to power 2.
So, its order is 2 and degree is also 2.
Question 15.
In which quadrant, the bounded region for inequations x + y < 1 and x – y < 1 is situated
(A) I, II
(B) I, III
(C) II, III
(D) All the four quadrants
Answer:
(D) All the four quadrants
Explanation:

As shown in graph drawn for x + y = 1 and x – y = 1, the origin included in the area.
Hence, the bounded region situated in all four quadrants.
Question 16.
The normal distribution curve is symmetrical about
(A) X = µ
(B) X = σ
(C) X = \(\frac{\mu}{\sigma}\)
(D) X = \(\frac{\sigma}{\mu}\)
Answer:
(A) X = µ
Explanation:
Normal distribution is symmetrical about mean.
Question 17.
A factory production is delayed for three weeks due to breakdown of a machine and unavailability of spare parts. Under which trend oscillation does this situation fall under?
(A) Seasonal
(B) Cyclical
(C) Secular
(D) Irregular
Answer:
(D) Irregular
Question 18.
A ____________ is a numerical value that is taken from the entire population, such as the population mean. 1
(A) Parameter
(B) Estimation
(C) Hypothesis
(D) none of these
Answer:
(A) Parameter
DIRECTION:
In the following questions, a statement of Assertion (A) is followed by a statement of Reason (R). Choose the correct answer out of the following choices.
(A) Both (A) and (R) are true and (R) is the correct explanation of (A).
(B) Both (A) and (R) are true but (R) is not the correct explanation of (A)
(C) (A) is true but (R) is false.
(D) (A) is false but (R) is true.
Question 19.
Assertion (A) : The maximum profit that a company can make, if the profit function is given by p(x) = 41 – 72x – 18x2 is 113.
Reason (R) : Let profit function
p(x) = 41 – 72x – 18x2
∴ p'(x) = – 72 – 36x
⇒ x = – \(\frac{72}{36}\) = – 2
p”(x) = – 36
Also, p”(- 2) = – 36 < 0
By second derivative test, x = – 2 is the point of local maxima of p.
∴ Maximum profit = p(- 2)
= 41 – 72(- 2) – 18(- 2) 2
= 41 + 144 – 72 = 113
Hence, the maximum profit that the company can make is 113 units.
Answer:
(A) Both (A) and (R) are true and (R) is the correct explanation of (A).
Question 20.
Assertion (A) : The mean of the numbers obtained on throwing a die having written 1 on three faces, 2 on two faces and 5 on one face is 2.
Reason (R) : Mean is also called average or expected value or expectation and denoted as E(X).
Answer:
(B) Both (A) and (R) are true but (R) is not the correct explanation of (A)
Explanation:
Assertion (A) is true because Given on three faces of a die 1 is written, on two faces 2 is written and on one face 5 is written.
The die is thrown once.
The sample space of random experiment = {1, 1, 1, 2, 2, 5}.
It has 6 equally likely outcomes
∴ P(1) = \(\frac{3}{6}\)
P(2) = \(\frac{2}{6}\)
P(3) = \(\frac{1}{6}\)
∴ Probability distribution of the numbers written on face of a die:
| xi | 1 | 2 | 5 |
| Pi(xi) | \(\frac{1}{2}\) | \(\frac{1}{3}\) | \(\frac{1}{6}\) |
Mean = ΣPixi
= \(\frac{1}{2} \times 1+\frac{1}{3} \times 2+\frac{1}{6} \times 5\)
= \(\frac{1}{2}+\frac{2}{3}+\frac{5}{6}\)
= \(\frac{12}{6}\) = 2.
Reason is true because expected value and expectation are the other name of mean and mean is represented by E(X).
Section – B
(All Questions are compulsory. In case of internal Choice, attempt any one question only)
Question 21.
Rehaan invested ₹ 7000 in a Term Deposit Scheme that fetches interest 7.5% per annum compounded semi-annually. What will be the interest after 3. [Given (1.0375)6 = 1.2472]
Answer:
We know that,
Compount interest I = P[(1 + i)n – 1]
i = 75% p.a.
= 0.075 p.a.
= 0.075 × \(\frac{1}{2}\) per six months
= 0.0375 per six months
I = 7000 [(1 + 0.0375)6 – 1]
= 7000 [(1.0375)6 – 1]
= 7000 [1.2472 – 1]
= 7000 × 0.2472
= ₹ 1730.4
Question 22.
There are two real value(s) of x, for which the value of the determinant ∆ = \(\left|\begin{array}{ccc}
1 & -2 & 5 \\
2 & x & -1 \\
0 & 4 & 2 x
\end{array}\right|\) is 86. Find the value(s) of x.
Answer:
Expanding C1,
we get ∆ = 1 (2x2 + 4) – (- 2) (4x – 0) + 5 (8 – 0)
= 86
⇒ x2 + 4x – 21 = 0
∴ x = 3, – 7
OR
Find matrix X so that X \(\left(\begin{array}{lll}
1 & 2 & 3 \\
4 & 5 & 6
\end{array}\right)=\left(\begin{array}{ccc}
-7 & -8 & -9 \\
2 & 4 & 6
\end{array}\right)\).
Answer:
Let X = \(\left(\begin{array}{ll}
a & b \\
c & d
\end{array}\right)\)
then,
\(\left(\begin{array}{ll}
a & b \\
c & d
\end{array}\right)\left(\begin{array}{lll}
1 & 2 & 3 \\
4 & 5 & 6
\end{array}\right)=\left(\begin{array}{ccc}
-7 & -8 & -9 \\
2 & 4 & 6
\end{array}\right)\)
a+4 b & 2 a+5 b & 3 a+6 b \\
c+4 d & 2 c+5 d & 3 c+6 d
\end{array}\right)=\left(\begin{array}{ccc}
-7 & -8 & -9 \\
2 & 4 & 6
\end{array}\right)\)
a +4b = – 7
2a + 5b = – 8
3a + 6b = – 9
3c + 6d = 6
c + 4d = 2
2c + 5d = 4
Equating and solving to get a = 1, b = – 2, c = 2 and d = 0.
X = \(\left(\begin{array}{cc}
1 & -2 \\
2 & 0
\end{array}\right)\)
Question 23.
A company produces soft drinks that have a contract which requires that a minimum of 80 units of chemical A and 60 units of the chemical B go into each bottle of the drink. The chemicals are available in prepared mix packets from two different suppliers. Supplier S had a packet of mix of 4 units of A and 2 units of B that costs ₹ 10. The supplier T has a packet of mix of 1 unit of A and 1 unit of B that costs ₹ 4. Formulate a Linear Programming Problem.
Answer:
Let x and y units of packet of mixes are purchased from S and T, respectively.
If Z is the total cost, then
Z= 10x + 4y …………..(i)
is objective hinction which we have to minimize.
Here, constraints are:
4x+y ≥ 0 …………(ii)
2x+y≥ 0 ……………(iii)
Also, x ≥ 0 ………….(iv)
y ≥ 0 ………….(v)
Question 24.
In a 200 metre race, Anuj can beat Param by 5 metre or 3 seconds. How much time did Anuj take to complete the race?
Answer:
Param runs 5 m in 3 seconds = time taken to run 200 m
= \(\frac{3}{5}\) × 200
= 120 seconds
Anuj’s time = 120 – 3
= 117 seconds
OR
Find the remainder when 281 is divided by 17.
Answer:
281 x(mod 17)
We know that,
23 ≡ 8(mod 17)
(23)3 ≡ (8)3 (mod 17)
29 ≡ 512 (mod 17)
29 ≡ 2 (mod 17)
(29)9 ≡ (2)9 (mod 17)
281 ≡ 512 (mod 17)
281 ≡ 2 (mod 17)
So, when 281 is divided by 17, remainder is 2.
Question 25.
Ten individuals are chosen at random from the population and their heights are found to be in inches 63, 63, 64, 65, 66, 69, 69, 70, 70, 71. Discuss the freedom value of Student’s-t and 5% level of significance is 2.62.
Answer:
| x | x – \(\bar{x}\) | (x – \(\bar{x}\))2 |
| 63 | – 4 | 16 |
| 63 | – 4 | 16 |
| 64 | – 3 | 9 |
| 65 | – 2 | 4 |
| 66 | – 1 | 1 |
| 69 | 2 | 4 |
| 69 | 2 | 4 |
| 70 | 3 | 9 |
| 70 | 3 | 9 |
| 71 | 4 | 16 |
| Σx = 670 | Σ (x – \(\bar{x}\))2 = 88 |
\(\bar{x}\) = mean
= \(\frac{\sum x}{n}\)
= \(\frac{670}{67}\) = 10
Now, compute the standard deviation using formula as,
σ = \(\sqrt{\frac{\sum(x-\bar{x})^2}{n-1}}\)
= \(\sqrt{\frac{88}{9}}\)
= 3.13 inches
Section – C
(All Questions are compulsory. In case of internal Choice, attempt any one question only)
Question 26.
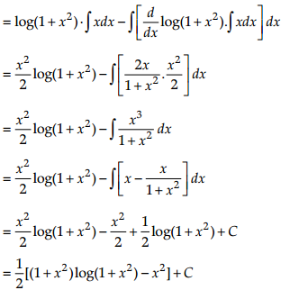
Evaluate: ∫ x log (1 + x2) dx
Answer:
∫ x log (1 + x2) dx
II I
Integrating by parts

OR
Evaluate: \(\int_1^2\left[\frac{1}{x}-\frac{1}{2 x^2}\right]\) e2x . dx
Answer:
Put, 2x = t
∴ dx = \(\frac{1}{2}\) dt
∴ I = \(\int_1^2\left[\frac{1}{x}-\frac{1}{2 x^2}\right] e^{2 x}\) dx
= \(\int_2^4\left[\frac{1}{t}-\frac{1}{t^2}\right] e^t\) dt
= \(\left[\frac{1}{t} e^t\right]_2^4\)
= \(\frac{e^4}{4}-\frac{e^2}{2}\)
[Since, ∫ ex {f(x) + f'(x)} dx = ex f(x) + C]
Question 27.
Two badminton teams A and B are staying in the same hostel. Team A has 2 male and 3 female players accompanied by 1 coach. Team B comprises of 1 male, 2 female players and 2 coaches. The daily diet requirement (calories and protein) for each person is as given below:
| Calories | Protein | |
| Male player | 2500 | 65 g |
| Female player | 1900 | 50 g |
| Coach | 2000 | 54 g |
Use matrix algebra to calculate the total diet requirement of calories and protein for each team.
Answer:
Daily diet of team A = [2 3 1] \(\left[\begin{array}{ll}
2500 & 65 \\
1900 & 50 \\
2000 & 54
\end{array}\right]\)
5000+5700+2000 \\
130+150+54
\end{array}\right]=\left[\begin{array}{c}
12700 \\
334
\end{array}\right]\)
Team A consumes 12700 calories and 334 g protein
Daily diet of team B = [1 2 2] \(\left[\begin{array}{ll}
2500 & 65 \\
1900 & 50 \\
2000 & 54
\end{array}\right]\)
2500+3800+4000 \\
65+100+108
\end{array}\right]=\left[\begin{array}{c}
10300 \\
273
\end{array}\right]\)
Team B consumes 10300 calories and 273 g protein.
Question 28.
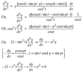
If x = sin t and y = sin pt, then prove that (1 – x2) \(\frac{d^2 y}{d x^2}\) – x \(\frac{d y}{d x}\) + p2y = 0.
Answer:
Given, x = sin t
and y = sin pt
On differentiating both sides w.r.t. t, we get
\(\frac{d x}{d t}\) = cos t
and \(\frac{d y}{d t}\) = cos pt . p
Or,
\(\frac{d y}{d x}\) = \(\frac{\frac{d y}{d t}}{\frac{d x}{d t}}\)
= \(\frac{\cos p t \cdot p}{\cos t}\)
Now on differentiating both sides w.tt. x, we get

Question 29.
The demand function for a popular make of 12- speed bicycle is given by p = D(x) = – 0.001x2 + 250, where p is the unit price in Rupees and A: is the quantity demanded in units of a thousands. The supply function for the same product is given by p = S(x) = 0.0006x2 + 0.02x + 100, where p is the unit price in Rupees and x is the quantity supplied in units of a thousands. Find producer’s surplus.
Answer:
At equilibrium,
D(x) = S(x)
– 0.001 x2 + 250 = 0.0006 x2 + 0.02x + 100
= (0.0006 + 0.001) x2 + 0.02x + (100 – 250) = 0
2x2 + 25x – 187500 = 0
= 2x2 + 625x – 600x – 187500 = 0
= (2x + 625) (x – 300) = 0
x = \(\frac{-625}{2}\) or x = 300
The value of x cannot be negative, so x = 300
Now, substituting x =300 in D(x) or S(x),
we get p = 160
Thus, point of intesection is (300, 160).
Formula for Producer’s Surplus is
PS = Qe . Pe – \(\int_0^{Q_e}\) S(x) dx
Where, S(x) = Supply Function
Pe = Equilibrium Price
Qe = Equilibrium Quantity
Here, S(x) = 0.0006 x2 + 0.02x + 100
Pe = 160
and Qe = 300
So, PS = 300 × 160 – \(\int_0^{300}\) (0.0006 x2 + 0.02x + 100) dx
= 48000 – 0.0006 \(\left[\frac{x^3}{3}\right]_0^{300}-0.02\left[\frac{x^2}{2}\right]_0^{300}-100[x]_0^{300}\)
= 48000 – 0.0006 \(\left(\frac{300^3}{3}-0\right)\) – 0.02 \(\left(\frac{300^3}{2}-0\right)\) + 100 (300 – 0)
= 48000 – 5400 – 900 – 30000
= 11700
Since, the quantity supplied in units of a thousands.
So,
PS = 11,700 × 1000
= 11,700,000.
OR
The demand and supply function of a commodity are Pd = 18 – 2x – x2 and Ps = 2x – 3. Find the consumer’s surplus at equilibrium price.
Answer:
Given Pd = 18 – 2x – x2
Ps = 2x – 3
We know that at equilibrium prices Pd = Ps
18 – 2x – x2 = 2x – 3
x2 + 4x – 21 = 0
(x – 3) (x +7) = 0
x = – 7 or 3
The value of x cannot be negative, x = 3
When x = Qe = 3
Pe = 18 – 2(3) – (3)2 = 3
Consumer’s surplus is given by
CS = \(\int_0^{Q_e}\) D(x) dx – Qe . Pe
Here, D(x) = Pd
So, CS = \(\int_0^3\) (18 – 2x – x2) – 3 × 3
= \(\left[18 x-x^2-\frac{x^3}{3}\right]_0^3\) – 9
= 18 (3) – (3) – \(\left(\frac{3^3}{3}\right)\) – 9
= 27 units
Hence, at equilibrium price, the consumer’s surplus is 27 units.
Question 30.
10 years ago, Mr mehra set up a sinking fund to save for his daughter’s higher studies. At the end of 10 years, he , has received an amount of ₹ 10,21,760. What amount did he put in the sinking fund at the end of every 6 months for the tenure, which paid him 5% p.a. compounded semi-annually? [Use (1.025)20 = 1.6386]
Answer:
n = 10 × 2 = 20,
S = 10, 21, 760,
i = 5200 = 0.025,
R = ?
S = R \(\left[\frac{(1+i)^n-1}{i}\right]\)
⇒ 1021760 = R \(\left[\frac{(1+0.025)^{20}-1}{0.025}\right]\)
⇒ 1021760 = R \(\left[\frac{1.6386-1}{0.025}\right]\)
⇒ R = \(\left[\frac{1021760 \times 0.025}{0.6386}\right]\)
⇒ R = ₹ 40,000
Mr. Mehra set aside an amount of ₹ 40,000 at the end of every six months.
Question 31.
Ajay is a service man. He lives in a joint family. There are 6 members in his family. He is planning to purchase a car so he is searching for a bank for a loan. He take a loan of ₹ 250000 at the interest rate of 6% p.a. compounded monthly is to be amortize by equal payment at the end of each month for 5 years. Find the size of each monthly payment.
Given that (1.005)60 = 1.3489, (1.005)21 = 1.1104.
Answer:
Given, P = ₹ 25,000
i = \(\frac{6}{12 \times 100}\)
= 0.005
and n = 5 × 12 = 60
EMI = \(\frac{P \times i \times(1+i)^n}{(1+i)^n-1}\)
= \(\frac{25000 \times 0.005 \times(1.005)^{60}}{(1.005)^{60}-1}\)
= \(\frac{25000 \times 0.005 \times 1.3489}{0.3489}\)
= ₹ 4832.69
= ₹ 4833.
Section – D
(This section comprises of long answer type questions (LA) of 5 marks each)
Question 32.
In a math aptitude test, student scores are found to be normally distributed having mean as 45 and standard deviation 5. What percentage of students have scores:
(i) more than the mean score?
Answer:
X = scores of students,
µ = 45,
σ = 5
∴ Z = \(\frac{X-\mu}{\sigma}\)
= \(\frac{X-45}{5}\)
(i) When X = 45, z = 0
P(X > 45) = P(Z > 0) = 0.5
⇒ 50% students scored more than the mean score
(ii) between 30 and 50?
Answer:
When X = 30, Z = – 3
and when X = 50, Z = 1
P(30 < X < 50) = P(- 3 < Z < 1) = P(- 3 < Z ≤ 1)
= P(- 3 = P(0 ≤ Z < 3) + P(0 ≤ Z.cl)
= 0.4987 + 0.3413 = 0.84
84% students scored between 30 and 50 marks.
OR
(a) An unbiased die is thrown again and again until three sixes are obtained. Find the probability of obtaining a third six in the sixth throw of the die.
Answer:
Let p be the probability of obtaining a ‘six’ in a single throw of the die.
Then, p = \(\frac{1}{6}\)
and q = 1 – \(\frac{1}{6}\) = \(\frac{5}{6}\)
Obtaining 3rd six in the 6th throw of the die means that in first five throws there are 2 sixes and the 3rd six is obtained in 6th throw.
Therefore, required probability = 5c2 p2 q5-2 × p

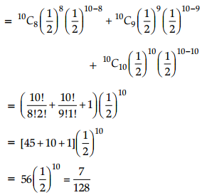
(b) Find the probability of guessing correctly at least 8 out of 10 answers on a true-false type examination.
Answer:
We know that,
P(X = r) = ncr (p)r (q)n-r
Here, n = 10,
p = \(\frac{1}{2}\),
q = \(\frac{1}{2}\)
and r ≥ 8
i.e., r = 8, 9, 10
⇒ P(X = r) = P(r = 8) + P(r = 9) + P(r = 10)

Question 33.
Rahul is at the whole sale market to purchase folding tables and chairs, to later sell them at his furniture shop. He has only ₹ 5,760 to spend and his van has space to carry at the most 20 items. A table costs him ₹ 360 and a chair costs ₹ 240. Back at his shop, he plans to sell a table at a profit of ₹ 22 and a chair at a profit of ₹ 18. Given that he can sell all the items that he purchases, how many tables and chairs shall he purchase in order to maximise his profit?
Answer:
Let the number of tables and chairs be x and y respectively
(Max profit) Z = 22x + l8y
Subject to constraints:
x + y ≤ 20
360x + 240y ≤ 5760
or 3x + 2y ≤ 48
x, y ≥ 0

The feasible region OABCA is closed (bounded)
| Corner points | Z = 22x + 18y |
| O (0, 0) | 0 |
| A (0, 20) | 360 |
| B (8, 12) | 392 (Max) |
| C(16, 0) | 352 |
Buying 8 tables and 12 chairs will maximise the profit ₹ 392.
Question 34.
To manufacture ‘x’ number of dolls, a company’s total cost function C(x) is given by C(x) = 100 + 0.025x2 and the total revenue function R(x) is described as R(x) = 5x. Given that C(x) and R(x) are in thousand rupees, what number of dolls shall be manufactured to maximise the profit of the company? What is the maximum profit?
Answer:
P(x) = R(x) – C(x)
= 5x – (100 + 0.025x2)
⇒ P'(x) = 5 – 0.05x
⇒ x = 100
As p”(x)= – 0.05 < 0, ∀ x
∴ Manufacturing 100 dolls will maximise the profit of the company and, Profit = ₹ 1,50,000.
OR
A wire of length 50 m is cut into two pieces. One piece of the wire is bent in the shape of a square and the other in the shape of a circle. What should be the length of each piece so that the combined area of the two is minimum?
Answer:

Length of wire = 50 m (Given)
Let length of one piece for shape of a square = x m
∴ Length of other piece for shape of circle = (50 – x) m
Now perimeter of square = 4 a = x
⇒ a = \(\frac{x}{4}\)
and circumference of circle = 2πr = 50 – x
⇒ r = \(\frac{50-x}{2 \pi}\)
Combined Area = a2 + πr2

For maximum and minimum value of A, \(\frac{dA}{d x}\) = 0
∴ x (4 + π) – 200 = 0
x = \(\frac{200}{4+\pi}\)
At x = \(\frac{200}{4+\pi}\), \(\frac{d^2 A}{d x^2}\) > 0
A is minimum at \(\frac{200}{4+\pi}\)
∴ Length of square wire, x = \(\frac{200}{4+\pi}\) m
and length of circle wire = 50 – x
= 50 – \(\frac{200}{4+\pi}\)
= \(\frac{50 \pi}{4+\pi}\) m.
Question 35.
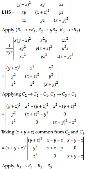
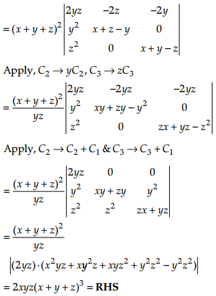
Using properties of determinants, prove that \(\left|\begin{array}{ccc}
(y+z)^2 & x y & z x \\
x y & (x+z)^2 & y z \\
x z & y z & (x+y)^2
\end{array}\right|\) = 2xyz (x + y + z).
Answer:


Section – E
(This section comprises of 3 source based questions (Case Studies) of 4 marks each)
CASE STUDY – 1
Question 36.
Read the following text and answer the following questions on the basis of the same:
A linear inequation in one variable is of the form ax + b < 0 or, ax + b ≤ 0 or, ax + b > 0 or, ax + b ≥ 0. We follow the following algorithm to solve a linear inequation in one variable.
Algorithm:
Step I : Obtain the linear inequation
Step II : Collect all terms involving the variable on one side of the inequation and the constant term on the other side.
Step III : Simplify both sides of inequality in their simplest forms to reduce the inequation in the form ax < b, or ax ≤ b, or ax > b, or ax ≥ b.
Step IV : Solve the inequation obtained in step III by dividing both sides of the inequation by the coefficient of the variable.
Step V : Write the solution set obtained in step IV in the form of an interval on the real line.
(i) Solve the linear inequation 2x – 8 ≤ 0.
Answer:
We have
2x – 8 ≤ 0
⇒ (2x – 8) + 8 ≤ 0 + 8
⇒ 2x ≤ 8
⇒ x ≤ 4
(ii) Solve the linear inequality -3x +15 < 0.
Answer:
We have,
– 3x + 15 < 0
⇒ – 3x < – 15 ⇒ \(\frac{-3 x}{-3}>\frac{-15}{-3}\)
⇒ x > 5
(iii) Solve for x: \(\frac{4}{x+1}\) ≤ 3 ≤ \(\frac{6}{x+1}\) (x > 0)
Answer:
Consider first two inequalities, \(\frac{4}{x+1}\) ≤ 3
⇒ 4 ≤ 3 (x + 1)
⇒ 4 ≤ 3x + 3
⇒ 4 – 3 ≤ 3x
[subtracting 3 on both sides]
⇒ 1 ≤ 3x
∴ x ≥ \(\frac{1}{3}\) ………………(i)
and consider last two inequalities, 3 ≤ \(\frac{6}{x+1}\)
⇒ 3 (x + 1) ≤ 6
⇒ 3x + 3 ≤ 6
⇒ 3x ≤ 6 – 3
[subtracting 3 on both sides]
⇒ 3x ≤ 3 [dividing by 3]
∴ x ≤ 1 …………..(ii)
From eqs. (i) and (ii),
x ∈ [\(\frac{1}{3}\), 1]
\(\frac{1}{3}\) ≤ x ≤ 1
OR
Solve for x : – 5 ≤ \(\frac{2-3 x}{4}\) ≤ 9
Answer:
We have – 5 ≤ \(\frac{2-3 x}{4}\) ≤ 9
⇒ – 20 ≤ 2 – 3x
[multiplying by 4 on both sides]
⇒ 3x ≤ 2 + 20
⇒ 3x ≤ 22
⇒ x ≤ \(\frac{22}{3}\)
and \(\frac{2-3 x}{4}\) ≤ 9
⇒ 2 – 3x ≤ 36
⇒ – 3x ≤ 36 – 2
⇒ – 3x ≤ 34
⇒3x ≥ – 34
⇒ x ≥ – \(\frac{34}{3}\)
⇒ – \(\frac{34}{3}\) ≤ x ≤ \(\frac{22}{3}\)
x ∈ \(\left[\frac{-34}{3}, \frac{22}{3}\right]\)
CASE STUDY – II
Question 37.
Read the following text and answer the following questions on the basis of the same:
Poisson Distribution is a discrete probability distribution. The Poisson distribution is a particular limiting form of Binomial distribution when p (or q) is very small and n is large enough so that np (or nq) is a finite constant say m.
A probability distribution of a random variable x is called Poisson distribution if x can assume non-negative integral values only and the distribution is given by
Here, the value of e = 2.7183, it is the base of the natural system of logarithms.
P(r) = P(X = r) = \(\left\{\begin{array}{cc}
\frac{e^{-m} m^r}{r !} & r=0,1,2 \ldots \\
0, & r \neq 0,1,2 \ldots
\end{array}\right.\)
Constants of the Poisson Distribution
(i) Mean, E(X) = m = np
(ii) Variance, V(X) = m = np
(i) If X is a Poisson variable such that P(X = 1) = 2P(X = 2), then find P(X = 0).
Answer:
Given,
P (x = 1) = 2P (x = 2)
⇒ \(\frac{e^{-m} m^1}{1 !}=2 \frac{e^{-m} m^2}{2 !}\)
⇒ m = 1
Now,
P (x = 0) = \(\frac{e^{-m} m^0}{0 !}=\frac{e^1 1}{1}\) = e
OR
Use a Poisson Distribution to find probability. If µ = 0.5, find P(2).
Answer:
Let P(X) = \(\frac{\mu^X \cdot e^{-\mu}}{X !}\)
P(2) = \(\frac{0.5^2 \cdot e^{-0.5}}{2 !}\)
= 0.0758
(ii) If P(X = 2) = 9 P(X = 4) + 90 P(X = 6) in Poisson distribution, then find E(X).
Answer:
Let P (X = r) = \(\frac{e^{-m} m^r}{r !}\) r = 0, 1, 2, ………….., ∞
Given, P(X = 2) = 9 P(X = 4) + 90 P(X = 6)
⇒ \(\frac{e^{-m} m^2}{2 !}=9 \frac{e^{-m} m^9}{9 !}+90 \frac{e^{-m} m^6}{6 !}\)
⇒ m4 + 3m2 – 4 = 0
⇒ (m4 + 4) (m2 – 1) = 0
⇒ m = 1
(∵ other values are not admissible)
Thus, E(X) = m = 1.
(iii) A telephone switch board handles 600 calls on the average during a rush hour. The board can make a maximum of 20 connections per minute. Use poisson distribution to estimate the probability that board will be over taxed during any given minute, [e-10 = 0.00004539]
Answer:
Mean (per minute) = \(\frac{600}{60}\) = 10
Hence, the probability for using 0 to 20 calls per minute
= \(\sum_0^{20} e^{-m} \frac{m^x}{x !}\)
= e-10 \(\sum_0^{20} \frac{10^x}{x !}\)
= 0.00004539 \(\sum_0^{20} \frac{10^x}{x !}\)
Thus, the probability that the board will be over taxed during any given minute
i.e., when the calls will be more than 20 connections per minute. = 1 – 0.000045392 \(\sum_0^{20} \frac{10^x}{x !}\)
CASE STUDY – III
Question 38.
Read the following text and answer the following questions on the basis of the same:
Researchers have found a strong correction between attendance for school and academic performance and success. Children that miss school frequently often fall behind both academically as well as professionally. Absence from school is often the biggest single cause of poor performance and achievement. As a parent, it is crucial to convey the importance of regular attendance to our child and how missing out can damage their future. The table given below shows the daily attendance in thousands at a certain school over a period of two weeks.

Calculate seven days moving averages. Draw the graphs for moving averages.
Answer:
Calculation of seven days moving averages

Draw the graph for moving averages

OR
Apply the method of least square to obtain the trend values from the following data:

Answer:
Let the equation of straight line trend is:
YC = a + bx
Calculation of trend values by the method of least square.

Since, ΣZ = 0,
a = \(\frac{\Sigma Y_C}{N}\)
= \(\frac{550}{5}\) = 110
and b = \(\frac{\Sigma X Y}{\Sigma X^2}\)
= \(\frac{-20}{10}\) = – 2
The required equations is:
YC = 110 – 2X